Пышнов В.С., "Из истории летательных аппаратов", 1968 г
Издательский редактор Л. И Мунина Технический редактор Н. А. Пухликова
Художник Я. Т. Дворников Корректор А. И. Карамышкина
Сдано в набор 29/III 1968 г. Т-10097 Подписано к печати 10/VII 1968 г.
Тираж 3600 экз. Цена 78 коп. Тем. план 1968 г. No 148
Издательство "Машиностроение", Москва, К-51, Петровка, 24 Изд. зак. 2395
Московская типография No 8 Главполиграфпрома Комитета по печати при Совете Министров СССР, Хохловский пер., 7. Тип. зак. 678
Илл. -- 59, табл -- 3, библиография -- 13 названий.
Редактор инж. К. Я. Зайцева
УДК 629.735.33(091)

     OCR&spellcheck Андрей Тарасенко bb_dubna@pisem.net




     Содержание
     От автора
     1.  На   чем  летал  Петр  Николаевич
Нестеров
     Введение
     На планере
     На свободном аэростате
     На учебном самолете
     На      военном     самолете
"Ньюпор-4"
     На самолете "Моран-Ж"
     Новая система управления
     2.  Первые   тяжелые
грузоподъемные самолеты
      История развития.  1910-- 1921
гг.
     Анализ   грузоподъемности
самолетов
     Самолет "Русский витязь"
     Самолет "Илья Муромец"
     3. Маневренные истребители
     Введение
     Характеристики
маневренности
     Обзор истории  развития
маневренных истребителей. 1914-1920 гг.
     Развитие      маневренных
истребителей в период 1920-- 1932 гг.
     Развитие     маневренных
истребителей в период 1932-- 1940 гг.
     Летно-технические  характеристики
некоторых маневренных самолетов
     Самолет "Ньюпор-17"
     Самолет И-5
     Самолет И-153
     Самолет И-16
     Библиография
     Автор  -- известный советский ученый, посвятивший авиации  55 лет своей
жизни.
     В предлагаемом и последующих  его сборниках будет рассказано о наиболее
интересных, с инженерной точки зрения,  самолетах прошлого  и современных, а
также  о   некоторых  исследовательских  работах  в  области   аэромеханики.
Изложение ведется с позиций проверки старых идей и теорий, а, следовательно,
лучшего осмысливания новых.
     В  первый  выпуск  этих сборников вошли статьи  о самолетах, на которых
летал П.  Н.  Нестеров,  о  первых русских  тяжелых самолетах и  маневренных
истребителях.
     Материал излагается  не по  литературным источникам,  а по  собственным
впечатлениям и  обобщениям  автора. Из многих типов самолетов автор выделяет
наиболее важные конструкции и дает анализ удач и ошибок ранней поры развития
авиации. Все иллюстрации в книге принадлежат автору.
     Книга,  несомненно,  будет интересна  для  широкого  круга  авиационных
специалистов, преподавателей и студентов ВТУЗов, а также для лиц, работающих
в области истории техники.


     Более 55 лет я в том или ином виде следил за развитием авиации, собирал
относящиеся  к  ней  сведения,  пристально  наблюдал  за  полетами,   изучал
авиационные  науки  и затем  активно  участвовал  в  разнообразных  областях
инженерной, научной и летно-практической деятельности.  Простое перечисление
имен  ученых, инженеров, конструкторов,  летчиков  и других  специалистов  в
области авиации, с которыми я был знаком и с которыми сотрудничал, заняло бы
очень много  места. Я был свидетелем многих интересных радостных и печальных
событий, лично произвел  очень большое количество расчетов, изготовил  много
чертежей, написал ряд книг и большое число статей. В итоге -- в моей памяти,
в записках и вырезках собралось много сведений, которые будут утрачены, если
их не обработать и не систематизировать так, чтобы ими могли воспользоваться
другие.
     Мною  уже  был  написан  ряд  статей  по  истории развития  летательных
аппаратов и авиационных наук. В  частности, ряд  статей был  посвящен трудам
"отца  русской  авиации"  Николая   Егоровича   Жуковского,  обзору  научных
достижений и влияния их на практику строительства летательных аппаратов. Эти
статьи издавались в  журнале "Вестник  Воздушного  Флота" (ныне  "Авиация  и
космонавтика"), в сборниках и отдельных изданиях Военно-воздушной Инженерной
Академии  им. Н.  Е.  Жуковского  и  Научно-мемориального  музея им.  Н.  Е.
Жуковского.  Сейчас  я  полагаю  целесообразным  выпускать  сборники  статей
научно-технического  содержания,   в   которых  можно   было   бы   помещать
разнообразный  материал,  относящийся  и  к  прошлому,  и  к  современности,
объединяя его с позиций современных знаний. Автор не ставит перед собой цель
создать  из  отдельных статей целостную и  последовательную историю развития
авиационной науки и техники. Такая задача непосильна для одного человека.
     Впечатления  далекого прошлого  еще стоят у меня  перед  глазами,  но я
стараюсь смотреть  на  них не  только  с позиций современных  знаний,  но  и
учитывать возможности того времени.
     Когда  приходится  читать  работы, в которых касаются  истории развития
науки  и техники, часто можно встретить скрытый и даже прямой упрек ученым и
конструкторам  прошлого в  том, что они  не приняли во внимание те  или иные
обстоятельства или что они делали  анализ, используя  грубые методы.  Делать
это  едва ли целесообразно.  Мы, конечно,  всегда  можем найти основания для
упрека в адрес даже великих ученых. Я полагаю, что гораздо полезнее вникнуть
во все обстоятельства и условия прошлого, чтобы понять, как сложились те или
иные  теории и методы.  Деятельность  людей  проходит в условиях  наличия  и
постоянного пополнения информации, развития мнений и, конечно, под давлением
практической потребности. Я уверен, что ученые и инженеры нередко  применяли
упрощенные теории и  грубые методы  расчета  вовсе не  потому,  что не могли
сделать это точнее и строже, а просто не видели в этом большой необходимости
в условиях, когда  их внимание было  обращено на другое, по их мнению, более
важное.
     Это  не  значит,  что  упреков  прошлому вообще  не  следует делать.  К
сожалению, в работах прошлого можно встретить грубые ошибки или заблуждения.
На них, конечно, необходимо  остановиться. Нам кажется, что мы сейчас делаем
все гораздо лучше,  чем это делали раньше.  Во-первых, это не всегда,  может
быть, справедливо, а, во-вторых,  нельзя отогнать  от себя  мысль, что через
некоторое время  и нас будут критиковать и обвинять в разных погрешностях, и
даже в том, что мы не видели очевидного.
     А. Эйнштейн в  книге  "Эволюция физики"  (А.  Эйнштейн  и  Л.  Инфельд,
Эволюция физики, Гостехиздат, 1948  (стр. 84)) говорит: "Мы должны проверить
старые  идеи, старые теории,  хотя они и принадлежат  прошлому,  ибо это  --
единственное   средство   понять   важность   новых   идей   и   границы  их
справедливости". Все это А. Эйнштейн прекрасно демонстрирует в своей книге.
     Когда я изучаю труды и статьи уже отдаленного прошлого или рассматриваю
конструкции машин, я испытываю  глубокое уважение к их авторам, которые  при
наличии крайне малого опыта и ограниченности теорий  тем  не менее достигали
больших успехов и предвидели  то,  что произойдет еще не скоро. Больше всего
восхищает меня ясность мысли  некоторых ученых,  которые,  естественно, мною
более любимы.
     Это только первый сборник.  Сколько их будет еще  -- покажет будущее. Я
имею  намерение  в  сборниках  помещать   работы,   объединенные   некоторой
тематической целостностью.  Статьи первого сборника объединены рассмотрением
величины подъемной  силы, развиваемой  аппаратами типа  самолета. Приводимые
расчеты  почти  не  выходят  за  рамки  так  называемого  "Аэродинамического
расчета"   или,  точнее,   расчета  летных  характеристик  в  установившемся
прямолинейном  движении  и  маневре.  Три  статьи  этого  первого  сборника,
конечно,  не  исчерпывают всего того,  что я  хотел  бы изложить  в подобном
аспекте. Возможно, что эту тему удастся продолжить впоследствии.





     


     Всего   лишь   около   трех   лет   продолжалась   летная  деятельность
замечательного  русского летчика Петра  Николаевича Нестерова.  Началась она
летом 1911 г., когда он  построил  собственными силами  балансирный планер и
совершал на нем  небольшие буксирные полеты в окрестностях Нижнего Новгорода
(ныне г. Горький).
     Летом 1912 г.  П. Н. Нестеров  обучается управлять самолетом на учебном
самолете-биплане  "Фарман-4"  и в  конце  сентября сдает на  нем  экзамен на
звание  пилота-авиатора. 5  октября того же  года он сдает экзамен на звание
военного  летчика, видимо,  на  самолете  "Фарман-7", который  незначительно
отличался от самолета "Фарман-4".
     Затем он  направляется  в  Варшавскую  авиационную школу,  где проходит
тренировку  на  самолетах-монопланах  "Ньюпор-4",  которые  были приняты  на
вооружение в русской военной авиации. На этом самолете ему приходится больше
всего летать; на нем он овладевает глубокими  виражами, совершает  первую  в
мире  петлю  в   вертикальной  плоскости,   разрабатывает  вопросы  военного
применения авиации, совершает ряд перелетов, в том числе групповых. Известен
его замечательный  перелет из Киева в Гатчину (близ Ленинграда) за один день
почти  без  подготовки. На  этом  же самолете П. Н. Нестеров испытывает свою
новую   систему  управления   без  вертикального  оперения,   которая   была
предназначена для  самолета его собственной конструкции.  На "Ньюпоре" же он
начал выполнять боевые полеты в июле -- августе 1914 г.
     Последним  самолетом,  на котором  летал  П. Н. Нестеров, был  моноплан
"Моран-Солнье"  типа  "G",  который  по  скорости  и  маневренным  свойствам
превосходил  самолет  "Ньюпор-4".  Полетами  на нем он  овладел,  видимо,  в
бытность  свою в Москве летом  1914  г.; на  самолете этого типа он совершил
перелет Москва-- Петербург 11 июля 1914 г., пролетев без посадки  около  600
км. Это было большим достижением для того времени. Наконец, на этом самолете
Нестеров  совершил  свой  геройский  подвиг,  таранив в воздухе  австрийский
самолет 8  сентября  1914  г.;  при  этом  он погиб  сам  из-за  повреждения
собственного самолета при таране.
     На самолетах  с двигателем он летал  лишь  около двух лет, но как много
было сделано П. Н. Нестеровым  за  такой короткий срок! В  то время авиацией
очень увлекались, летчиками становились отважные и одаренные  люди. Самолеты
того  времени были очень несовершенны, особенно  в отношении  устойчивости и
прочности, так как именно эти вопросы были наиболее слабо изучены.
     Нестерову  удалось разрешить коренные  вопросы  техники пилотирования и
военного применения самолетов.  Личная отвага у  него счастливо сочеталась с
глубокими знаниями, большой наблюдательностью и любознательностью.
     Биографические сведения о жизни  и  деятельности  П.  Н. Нестерова  уже
излагались  рядом  авторов  и  едва  ли  можно   добавить   к  ним  что-либо
существенное.  Чтобы  в  полной  мере  оценить   заслуги  П.  Н.  Нестерова,
необходимо   более   глубоко   осветить   научно-техническую   сторону   его
деятельности,  чего не могли  сделать его  современники. Нестеров  летал  на
конкретных самолетах -- в сущности только на трех типах; они обладали вполне
определенными свойствами и возможностями. За  минувшие 50 лет авиация прошла
огромный  путь развития -- от скоростей порядка  100-130 км/час до 2500-3000
км/час; соответственно изменились  и другие свойства самолетов,  возросло их
общее техническое совершенство  и  оснащенность аппаратурой. У Нестерова был
единственный авиационный прибор -- высотомер; работу двигателя  проверяли на
слух; скорость полета  тоже  определяли  на  слух  и судили  о ней по работе
рулей.
     П.  Н. Нестерову,  как и многим другим  русским летчикам  того времени,
пришлось  летать лишь на  самолетах иностранных  конструкций. Лишь  немногие
изобретатели  и  летчики  при  заводах  могли  летать  иногда  на  самолетах
отечественной конструкции, строившихся в нескольких экземплярах. Исключением
являлся  первый  многомоторный  самолет  "Илья  Муромец",  который  строился
серийно до Октябрьской  революции. Другие серийные самолеты  периода  первой
мировой войны, строившиеся на заводах Лебедева и Анатра, являлись в сущности
модификациями   германских   самолетов   фирмы   "Альбатрос".   Оригинальные
отечественные  конструкции,  за   исключением  самолета  "Илья  Муромец"   и
гидросамолетов Д. П. Григоровича, так и не могли пробить себе дорогу. Только
после  Октябрьской  революции   Коммунистическая  партия   поставила  задачу
избавиться  от иностранной зависимости в области строительства  самолетов  и
двигателей. Это было выполнено менее чем за десять лет.
     В данной  статье мы хотим  детально рассмотреть свойства  и технические
возможности самолетов, на которых летал П. Н. Нестеров, с целью технического
анализа авиации того  времени на  примере некоторых типичных конструкций, на
которых пришлось летать  многим русским летчикам. В  то время расчеты летных
характеристик были  ограничены  по объему  и очень грубы. Технический анализ
самолетов,  на  которых  летал  П.  Н.  Нестеров,   позволит  нам  судить  о
возможностях, которыми он располагал в полете.



     Начнем с планера, который П. Н. Нестеров построил собственными силами и
средствами  и  на котором он впервые  познакомился  со  свойствами  крылатых
летательных  аппаратов.  Этот  планер  относился  к  категории  балансирных,
коробчатого  типа.  Термин  "балансирный"  указывает на средство  управления
путем  перемещения  груза  относительно  крыла  вперед,  назад и  в стороны.
Перемещаемым грузом был сам летчик, вес  которого составлял около 75% общего
веса  всего  летательного  аппарата.  Балансирное  управление  было  впервые
реализовано  Отто Лилиенталем в последнем десятилетии XIX века; он  погиб на
одном из своих планеров в 1896 г. С планером-монопланом  Лилиенталя мы можем
детально познакомиться по экземпляру, который был подарен Н. Е. Жуковскому и
находится в Научно-мемориальном музее его имени в Москве.
     Планеры  Лилиенталя  --  моноплан  и  биплан  --  были  оригинальны  по
конструкции; напоминая крылья летучей мыши, они имели проволочные  растяжки.
Шанютом  в  Америке  была  разработана  другая  конструкция,  которая  очень
напоминала известные коробчатые змеи, но  только второе,  заднее,  крыло его
было значительно  уменьшено. Коробчатые балансирные планеры получили большое
распространение вследствие простоты их изготовления и  жесткости конструкции
и строились с разными изменениями  --  в основном, с постепенным уменьшением
хвостовой поверхности. Некоторые конструкторы добавляли и органы управления.
     Коробчатых  балансирных планеров  в России строилось много, так как они
были дешевы, довольно безопасны и  просты в изготовлении. В  журнале "Вокруг
света"  за 1910  г.  был  детально  описан  коробчатый  балансирный  планер,
построенный из бамбуковых палок. В 1910 г. в Киеве была опубликована брошюра
профессора  Н. Б. Делоне  "Устройство дешевого  и легкого  планера и способы
летания  на  нем".  Вес  этого  планера  был  около  20 кГ и  стоимость  его
оценивалась всего в 20 рублей.
     Несмотря на разнообразие  конструкций и отдельные особенности, свойства
этих  планеров были  примерно одинаковы, что определялось  размахом крыльев,
равным  около  6  м  и  площадью крыльев  S  --  около 16 м2.  Их
аэродинамическое качество  было низким из-за малого эффективного  удлинения,
грубой формы деталей, обилия растяжек и, конечно, из-за висящей во весь рост
фигуры летчика. Примерный вид планера П. Н. Нестерова показан на рис. 1.
     Посмотрим, каковы были характеристики планеров того времени и насколько
они  отличаются от  современных.  Планеры первого десятилетия  XX века имели
довольно  низкие  летные характеристики; на  них  удавалось совершать только
кратковременные полеты, длительностью в несколько секунд, редко -- в десятки
секунд. Однако и такой полет привлекал начинающих авиаторов,  тем более, что
стоимость планера была мала.
     Мы изложим  здесь основы теории планеров, применявшейся  в  то время, и
современные теории. Ранние  способы расчета были очень просты. Угол снижения
планера   равен  величине,   обратной  аэродинамическому  качеству,  которое
определялось практически, и для бипланов с открытым расположением летчика не
превышало  1/3,5-- 1/4. Скорость полета  тоже  определялась  практически или
теоретически  --  с использованием  характеристик  крыльев,  полученных  при
лабораторных измерениях в воздушном потоке.
     Pishnoff-1.gif

     Pishnoff-2.gif

     Pishnoff-3.gif
     Рис. 1. Схема балансирного планера П. Н. Нестерова
     Скорость планирования  определялась в  основном удельной  нагрузкой  на
крыло  G/S,  где  G  --  полетный  вес  в  кГ  и  S  --  площадь  крыльев  в
м2. В среднем можно было считать
     Pishnoff-4.gif
     Так,  при весе  около  100  кГ и  площади крыльев  16 м2  мы
получим  скорость  по  отношению к  воздушной  среде,  равную  9-10 м/сек, и
скорость  снижения  Vy=  V/K=2,2-2,7  м/сек.  Такая  вертикальная
скорость соответствует  прыжку с  высоты 1/4-1/3 м. При полете против ветра,
имеющего  скорость  5-6 м/сек, скорость  перемещения  планера по отношению к
поверхности земли составляла 4-5 м/сек.  Из этих характеристик легко видеть,
что  полет на  планере  мало  отличался от  бега и прыжков, но только  время
нахождения человека в воздухе при этом было  гораздо больше, чем при простом
прыжке с высоты.
     Улучшение аэродинамического качества требовало значительного усложнения
планера, а уменьшение  удельной нагрузки путем  увеличения  площади  крыльев
делало планер громоздким, и балансирное управление  становилось непригодным.
Перейдем к общей теории планера, как она сложилась впоследствии.
     Летящее тело подвержено действию силы земного притяжения, определяемого
весом тела G. За время  полета t тело получит импульс тяготения G*t, который
сообщит телу вертикальную  скорость Vy=9,8t. Чтобы тело двигалось
горизонтально или с  постоянной  вертикальной скоростью, импульс, сообщенный
силой тяготения, должен  быть  передан другому  телу -- окружающей воздушной
среде или  газам,  выбрасываемым реактивным  двигателем.  Передача  импульса
требует расходования  энергии и, кроме того, будут другие факторы, требующие
дополнительного расходования энергии. Планер  может расходовать только  свою
энергию высоты, или потенциальную  энергию, непрерывно снижаясь по отношению
к  окружающей воздушной среде.  Чтобы  планер  снижался  полого и  медленно,
необходимо,  чтобы на передачу импульса и побочные потери затрачивалось мало
энергии.   Побочные   потери   будут   возникать   из-за   наличия   лобовых
сопротивлений, не связанных прямым образом с созданием подъемной силы.
     Крыло, перемещаясь в воздушной среде,  воздействует на  нее, отталкивая
воздух  вниз так,  что каждую секунду воздействию подвергаются все  новые  и
новые массы воздуха.  Крыло  воздействует  наиболее сильно на слои  воздуха,
проходящие  вблизи  него,  и это воздействие постепенно  ослабевает  по мере
отдаления  массы воздуха от крыла  по вертикали. Если условно  считать,  что
воздействие  не  зависит  от   расстояния  до  крыла,  мы   получим   вполне
определенную  массу  воздуха, на  которую  ежесекундно воздействует крыло  в
процессе  сообщения  импульса,  называемую  секундной  массой ms.
Оказывается,  что  она  заключена  в  цилиндрическом  отрезке   длиной  V  и
диаметром, равным размаху крыла l; отсюда получим
     Pishnoff-5.gif
     и      при      нормальной     плотности      воздуха      s=     0,125
кГ*сек24       получим        ms        =
0,l*V*l2.
     Вертикальную  скорость  W,   сообщенную  массе  ms,  получим
делением веса планера на  ms,  т.  е. W=G/ms; энергия,
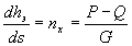
сообщенная массе ms, будет равна
     Pishnoff-6.gif
     Эту  затрату  энергии  можно  свести   к   преодолению   сопротивления,
называемого  индуктивным и вызываемым  формированием подъемной силы,  равной
весу;   величину  индуктивного  сопротивления   получим,   поделив   энергию
E1 на скорость полета
     Pishnoff-7.gif
     Дополнительная затрата энергии будет вызвана необходимостью преодоления
сопротивления  частей  планера;  его  можно  представить  как  сопротивление
некоторой плоской площадки F, расположенной перпендикулярно к линии полета:
     Pishnoff-8.gif
     где 1,28 -- коэффициент сопротивления плоской пластинки.
     Сопротивление Q1  обратно  пропорционально  V2, a
Q2  прямо  пропорционально  этой  величине;   нетрудно  было   бы
показать,  что минимальное суммарное сопротивление будет при равенстве обоих
сопротивлений,  а  из  этого  условия  мы  получим  соответствующую скорость
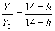
полета, называемую  наивыгоднейшей,  Vн, в  максимальное значение
аэродинамического качества Кmах:
     Pishnoff-9.gif
     Pishnoff-10.gif
     Pishnoff-11.gif
     Pishnoff-12.gif
     Вертикальную   скорость   планера   получим,   разделив   скорость   на
аэродинамическое качество:
     Pishnoff-13.gif
     Минимум скорости  снижения  будет при  скорости на 25-30%  меньшей, чем
наивыгоднейшая, но при  аэродинамическом  качестве, пониженном  примерно  на
15%, и тогда скорость снижения будет равна:
     Pishnoff-14.gif
     Из этой формулы мы видим,  что при данном весе планера наиболее сильным
средством уменьшения  скорости снижения является увеличение размаха крыльев;
уменьшение  вредной  площади F  влияет  довольно слабо. В случае  биплана  в
расчет вводится эквивалентный размах крыльев
     Pishnoff-15.gif
     где h -- расстояние между крыльями.
     Для  биплана  с  размахом  6  м  и   расстоянием  h=1,3  м  мы  получим
эквивалентный  размах lэ=6,8 м. У балансирного планера с  грубыми
формами и открыто висящим  летчиком величина F около 1,2-1,4  м2;
максимальное аэродинамическое качество будет около 4,5; скорость  полета при
полетном  весе 90  кГ будет 8-9 м/сек, скорость снижения --  около 2  м/сек.
Следует указать,  что если крыло плоское  или  искривленное, но обтягивающая
его   материя  не   лакирована,  эффективный  размах   окажется  значительно
пониженным:
     Pishnoff-16.gif
     Здесь   S  --   площадь  крыльев;  у  нашего  планера   она  около   16
м2, и тогда lэ=4,25 м; аэродинамическое качество будет
около 3 и скорость снижения -- около 2,8 м/сек.
     Кроме  проделанных  выше   расчетов,   необходимо  проверить   величину
коэффициента подъемной силы при минимальной скорости снижения:
     Pishnoff-17.gif
     Так,  в нашем  примере  при  V=8  м/сек, G/S=5,6 кГ/м2 имеем
Сy=1,4. Для обычного профиля это большая  величина и профиль может оказаться
близким к  срыву обтекания. Во избежание  этого, летать нужно на  повышенной
скорости, что поведет к увеличению скорости снижения.
     Можно показать,  что  во  избежание  получения излишне  большого  Су на
режиме пологого планирования величина
     
     не  должна  превышать 0,4-0,5, где  bср  --  средняя  ширина
крыла,  равная  площади крыла, деленной  на размах,  bcp=S/l; для
биплана  нужно   принимать  bcp=S/lэ.  У   балансирных
планеров  F  приблизительно равно  1,3  м2 и  потребная  величина
bcp будет  2,3-2,5 м. Очевидно, что для получения такого значения
средней ширины крыла более целесообразно разбить ее на два крыла, расположив
одно над  другим.  Так  это и делали, хотя подобного  теоретического  вывода
тогда  еще  получено не было. Впоследствии  благодаря  уменьшению величины F
ширина крыла  bср  была  сокращена  до 1,0-0,75  м.  При  большом
размахе это привело к очень большому удлинению l = l/bср.
     Можно  считать, что  планеры Нестерова--  Делоне имели аэродинамическое
качество  около  4  и  скорость  снижения  более 2  м/сек.  Чтобы  совершать
планирующие полеты, нужно  было иметь склон горы круче, чем  15o.
Как известно, Лилиенталь сделал для себя специальную горку. При угле откоса,
равном  20o,  и  при  ветре, имеющем скорость  более  6-7  м/сек,
получался восходящий поток со скоростью более 2 м/сек и был возможен парящий
полет.  Однако  при несовершенном  балансирном  управлении  это  было  очень
рискованно и привело Лилиенталя к гибели.
     Автор  тоже  проводил  опыты  полета  на  балансирном  планере.  Первое
впечатление при испытании было очень неожиданным. Подойдя к довольно крутому
откосу  при  скорости  ветра   около  6   м/сек,  я,   к  своему  удивлению,
почувствовал,  что  планер не хочет планировать. Благодаря наличию подъемной
силы я едва стоял  на земле, и  не мог приложить усилия, чтобы побежать вниз
по склону. Только после нескольких попыток мне удалось увеличить скорость  и
оторваться. Чувствовалось,  что  необходима  дополнительная  тяга;  тогда  к
планеру привязали две  веревки,  за  которые  стали тянуть  мои  товарищи. С
дополнительной  тягой  дело  пошло лучше и можно было  совершать  подлеты  с
пологих склонов.
     К  дополнительной тяге прибегали и  многие  другие.  Подобный буксирный
полет  можно  совершать и  на ровной  местности.  Потребную  силу тяги легко
определить; при весе около 90 кГ  и качестве 4  нужна  тяга  22,5 кГ.  Чтобы
создать такую тягу при беге, нужно иметь 4-6 человек или лошадь. На  снимках
полетов  П.  Н.  Нестерова  можно увидеть  применение буксировки  на  ровной
местности.
     Балансирное   управление,  особенно   боковое,   осуществлять  довольно
затруднительно.  Если  предположить,  что  удастся отклонить  центр  тяжести
туловища в  сторону на 7-10 см  и тем сместить центр тяжести  планера на 5-7
см,  мы  получим  момент  крена,  равный  5-7  кГ•м.  Плечо  подъемной  силы
относительно центра тяжести составит около 1,5-2% полуразмаха.
     Один из  последних, кто летал  на балансирном планере в двадцатые годы,
--  Пельтцнер  в  Германии, -- имел единственный орган  управления  --  руль
направления.  Это  следует признать  целесообразным. При наличии поперечного
"V" крыльев, создавая скольжение рулем направления,  можно  было создавать и
устранять углы крена  с  угловой  скоростью до 10o  в  секунду  и
управлять направлением полета.
     Что  касается продольного управления, то полет происходит  примерно  на
постоянном угле  атаки,  который  планер должен  устойчиво  удерживать,  что
обеспечивается   путем  правильного  выбора  центровки   и  угла   установки
стабилизатора  (соблюдения  продольного  "V").   Только   в  момент  посадки
необходимо  увеличить  угол  атаки, что  и достигается передвижением  пилота
назад.  Важнейшим условием продольной устойчивости  самолета,  как известно,
является  способность  сопротивляться  изменению  перегрузки  как  в  случае
действия  воздушных   течений,  так   и  при  выполнении  маневра.  Критерий
устойчивости  по  перегрузке  довольно  прост  и  заключается   в  том,  что
аэродинамический фокус должен находиться позади центра тяжести.
     Примерный расчет для планера Нестерова дает положение аэродинамического
фокуса в точке, лежащей примерно на расстоянии, равном 37% длины хорды от ее
передней  кромки  (см. рис.  1, точка  О).  Чтобы получить  положение центра
тяжести (точка О' на рис. 1) впереди фокуса у планера рассматриваемой схемы,
летчик должен  расположиться  в  довольно  переднем  положении  --  почти  у
переднего  лонжерона.  Чтобы  повысить  запас  устойчивости  у  балансирного
планера, нужно  было бы принять такую схему, в которой летчик мог  несколько
больше   выдвинуться   вперед;    например,   придать   крыльям    небольшую
стреловидность или сдвинуть верхнее  крыло  назад, применив  обратный вынос,
или лучше  сделать прямой вынос, как  это часто делалось  у бипланов,  т. е.
значительно выдвинуть верхнее  крыло вперед, и  расположить  летчика впереди
переднего лонжерона нижнего крыла.
     Может  быть,  и  не  стоило  бы останавливаться  на  полете балансирных
планеров: аэродинамически они очень плохи -- скорость снижения велика (2-2,5
м/сек),  качество  низко  и  управление  несовершенно.  Балансирные  планеры
сыграли свою,  положительную,  роль,  дав  пионерам авиации некоторый  опыт.
Однако  и  прошлое полезно анализировать, а, может  быть, простейшие планеры
окажутся интересными и сейчас.
     Радикальное улучшение летных характеристик планеров  началось уже после
окончания первой мировой войны  -- в 1921 -- 1922 гг. -- и в  этом деле были
быстро  достигнуты  замечательные успехи. В  Советском  Союзе в 1922 г.  был
построен планер  К. К. Арцеуловым.  По своим формам  он  напоминал  самолет,
размах его крыльев был доведен до 13 м. Значение F  можно оценить примерно в
0,5-0,6 м2;  отсюда мы получим аэродинамическое  качество, равное
13-14; при полетном весе 140 кГ это даст минимальную скорость снижения около
0,7-0,75 м/сек. Столь малая  скорость  снижения  позволила этому планеру под
управлением летчика Л. А. Юнгмейстера совершить парящий полет осенью 1923 г.
продолжительностью более часа.
     Развитию планеров весьма  способствовало применение теории индуктивного
сопротивления,   из  которой  и  вытекают  приведенные   выше  формулы   для
аэродинамического   качества   и  скорости   снижения.   К   1925-1927   гг.
аэродинамическое  качество  планеров  повысилось  до  20-25,  хотя  скорость
снижения   уменьшилась   сравнительно   немного.  Для  современных  планеров
характерны  размахи  крыльев   16-18  м   и   даже  более,   значения  F=0,2
м2  и  даже  менее;  при этих условиях  аэродинамическое качество
будет  около   30-35.  Однако  при   больших  размахах  крыльев  значительно
увеличивается  вес планеров. При размахе  17 м полетный вес составляет около
350 кГ и скорость снижения будет около 0,55 м/сек.



     П. Н.  Нестеров готовился к  тому, чтобы стать авиатором  -- летать  на
самолетах, но путь к самолету шел  через аэростат. Свободный --  сферический
-- аэростат появился более чем на 100 лет раньше  самолета. Правда, он долго
не  находил   практического  применения,   если  не   считать  спортивные  и
показательные и очень немногие научные полеты. Во время  осады Парижа в 1870
г. аэростаты  использовались для связи  и для бегства из осажденного  Парижа
немногими  лицами. Вся беда  была  в  том,  что свободный  аэростат не  имел
своего,  самостоятельного,  движения, обладая  лишь  некоторой  вертикальной
скоростью.  Проблема строительства управляемых аэростатов  -- дирижаблей  --
была решена  только немного раньше,  чем проблема создания самолета. Обе они
были решены в результате создания легкого двигателя внутреннего сгорания.
     Военное воздухоплавание стало развиваться раньше,  чем военная авиация,
и соответственно раньше были  созданы военные воздухоплавательные школы. Они
должны были готовить специалистов по военным дирижаблям; подобная офицерская
школа  была  и  в Петербурге;  в нее  и  поступил  П.  Н.  Нестеров. Русское
воздухоплавание  развивалось плохо; дирижаблей  было  мало,  эксплуатация их
была трудна и аварии часты. В воздухоплавательной школе давали теоретическую
подготовку,  а полетная практика в  основном  осуществлялась на  сферических
аэростатах.  П. Н. Нестеров  пошел в  воздухоплавательную школу  потому, что
через  нее  проходил путь  в  авиацию;  полеты  на  аэростатах  знакомили  с
условиями полета вообще; в школе были специалисты и по самолетам.
     Следует  указать, что в то время термин "воздухоплавание" относился и к
самолетам.  Так,  замечательный  труд  Н.  Е.  Жуковского  по  аэродинамике,
воздушным винтам  и  динамике  полета  носит название  "Теоретические основы
воздухоплавания". Аэростатам и дирижаблям в  нем уделено небольшое место, но
свойства их описаны очень обстоятельно.
     На  рис. 2  показана  схема  свободного  аэростата  объемом  около 1400
м3,  который  применялся  для  спортивно-тренировочных  целей. Он
состоит из матерчатого прорезиненного  баллона 1, покрытого сетью  (на схеме
она не  показана) с ромбовидными ячейками, имеющими размер сторон около 1 м;
сеть служит для передачи подъемной  силы на корзину. Стропы 2 соединяют сеть
с силовым кольцом 3, к которому подвешена корзина  4; в  корзине размещается
экипаж и  снаряжение.  В  самой верхней  части  оболочки помещен тарельчатый
клапан 5 для выпуска  газа,  который управляется  шнуром,  идущим в корзину;
цилиндрический  открытый снизу  отросток  6 служит  для выхода газа  при его
расширении во избежание разрыва  оболочки. Аэростат снабжен разрывной лентой
7, при помощи которой  оболочка распарывается  для быстрого выпуска газа при
посадке,  и мешками с  балластом  (песком)  8  для облегчения  аэростата при
необходимости уменьшить скорость спуска  или при переходе на подъем; длинный
канат  -- гайдроп  -- 9  служит  для уменьшения  скорости приземления и  для
торможения горизонтального движения, вызываемого ветром.
     Технические характеристики  этого аэростата таковы:  подъемная сила при
наполнении  оболочки  водородом  -- около  1400  кГ (на уровне  земли),  при
наполнении оболочки светильным газом -- около 1000 кГ; веса: оболочка -- 240
кГ, сеть -- 40 кГ,  кольцо -- 15  кГ, корзина  -- 58  кГ, гайдроп  -- 40 кГ,
итого -- вес конструкции около 400  кГ, или 28,5% полного полетного веса при
наполнении  оболочки  водородом. Вес снаряжения и  приборов  --  16  кГ, вес
полезной  нагрузки при наполнении  оболочки водородом  -- около 1000 кГ, при
наполнении оболочки  светильным газом -- 580 кГ. В полезную нагрузку  входит
балласт, количество  которого зависит  от  заданных высоты и времени полета.
Балласт для аэростата является своеобразным двигателем и топливом; сбрасывая
балласт, мы  получаем соответствующую  избыточную  подъемную  силу,  которая
совершает работу,  поднимая  аэростат  вверх.  Приняв  вес экипажа и  багажа
равным 350-400 кГ, мы оставим для балласта 600-650 кГ.
     Pishnoff-18.gif
     Рис 2 Схема свободного аэростата объемом 1400 м3:
     1  --  прорезиненный баллон;  2 -- стропы;  3 -- силовое  кольцо;  4 --
корзина, 5 --  клапан; 6 -- цилиндрический отросток; 7 -- разрывная лента; 8
-- мешки с балластом; 9 -- гайдроп.
     Интересно,  что  весовая  сводка  для данного аэростата  очень близка к
таковой  для  четырехместного спортивного  самолета с  двигателем  мощностью
около 250  л. с.; конструкция  такого  самолета будет весить  около 400  кГ,
двигатель и топливо -- 500-600 кГ и полезная нагрузка -- 400 кГ.
     Управление  свободным  аэростатом  сравнительно  несложное.  Средствами
управления являются клапан в куполе оболочки для выпуска порций газа с целью
уменьшения  подъемной  силы  и  балластные мешки  в  корзине,  служащие  для
облегчения  аэростата.  Таким  образом,  аэростат  управляется только  путем
изменения  разности  между  подъемной  силой   и  весом:  чтобы  преобладала
подъемная сила, нужно уменьшить  вес, сбросив некоторое количество балласта;
чтобы  преобладал вес,  нужно  выпустить  порцию  газа, приоткрыв  клапан на
несколько секунд.
     Сферический   аэростат  неустойчив  в  отношении   высоты  полета   при
нормальном состоянии  тропосферы.  Взлет  происходит при  некотором  избытке
подъемной силы. Если оболочка  была не полностью занята газом (водородом или
светильным газом),  то  по мере подъема подъемная сила остается  неизменной,
так  как   хотя  плотность  газа  убывает,   но  его  объем   соответственно
увеличивается.  Когда  же газ  целиком  заполнит оболочку, дальнейший подъем
вызовет истечение  газа из нижнего отверстия -- аппендикса, и подъемная сила
станет уменьшаться.
     На некоторой высоте наступит равновесие между подъемной  силой и весом,
но  это  равновесие неустойчиво. Если подъемная сила окажется мала, аэростат
пойдет вниз и равновесие не восстановится, пока недостаток подъемной силы не
будет компенсирован сбрасыванием  балласта. Если балласта  выброшено  больше
чем нужно,  аэростат  будет  подниматься  до  остановки,  за  которой  опять
последует  снижение.  Потеря  газа  происходит вследствие  пропускания  газа
оболочкой;  причиной  изменения подъемной  силы может  быть  нагревание газа
солнцем.  В  случае инверсии  температуры,  т.  е. повышения ее  с  высотой,
устойчивость аэростата улучшается.
     Время полета аэростата зависит  от запаса балласта и  интенсивности его
расходования. У неопытного пилота амплитуда изменений высоты будет большая и
расход балласта  повышенный; опытный пилот как бы  предугадывает предстоящее
движение  и предотвращает  нарушения высоты. С другой стороны,  нужно  уметь
использовать  атмосферные условия и,  в первую очередь,  направление  ветра,
которое может меняться с высотой. У дирижабля оболочка сохраняет постоянство
объема в  результате  подкачки  воздуха  в специальный  воздушный  мешок  --
баллонет -- и  поддержания  некоторого избыточного давления. В этих условиях
высота полета устойчива, но зато возможности изменения высоты ограничены.
     Полет на свободном аэростате спокоен и приятен. Единственной опасностью
в  полете  являются грозовые разряды, от  которых  может  загореться газ или
произойти разрыв оболочки.  Трудности  возникают  в  основном  при  посадке.
Прежде  всего, посадка может  произойти в неудобном  месте -- аэростат может
сесть на лес,  болото,  в воду. Наличие  запаса балласта позволяет  в  таких
случаях подняться  вновь  и искать  более удобного  места для посадки.  Если
аэростат  быстро снижается,  а  запас балласта мал, то посадка  произойдет с
ударом,  для  смягчения  которого  служит  гайдроп,  т.  е.  тяжелый  канат,
свисающий  вниз и дающий эффект  облегчения.  Наиболее  опасна  посадка  при
сильном  ветре и  наличии  в районе посадки  деревьев, строений и, особенно,
высоковольтных линий. Во время  посадки при сильном ветре стараются возможно
скорее выпустить  газ  на  небольшой  высоте,  для чего  служит  специальное
разрывное приспособление.
     Воздухоплавательный спорт,  который  одно время  был достаточно  широко
развит, теперь почти прекратил свое  существование. Причин для этого  много,
но  основная  причина  заключается  в  возросшей  опасности  столкновения  с
самолетами  и в обилии высоковольтных линий. Как известно,  в последние годы
свободные   аэростаты   были    усовершенствованы   применением   легких   и
непроницаемых для газа  оболочек  из пластмасс и применением  автоматических
устройств для обеспечения устойчивости полета. Еще раньше  в Советском Союзе
были разработаны герметические кабины, обеспечивающие полет на очень больших
высотах.
     П. Н. Нестеров совершил  несколько полетов на свободном аэростате. Один
из полетов был довольно длительный -- за 13 час было пройдено около 800 км.



     Занимаясь в воздухоплавательной школе, П. Н. Нестеров стремился перейти
к  полетам  на  самолетах.  Сначала  он  получил  разрешение   заниматься  в
авиационном отделе  школы, а затем перешел  окончательно в это отделение для
обучения полетам.
     В  те  годы  для  обучения  полетам  применялись  два  типа  самолетов:
двухместный  биплан "Фарман-4" и одноместный моноплан "Блерио-XI". В  период
1909--  1912  гг. это были два самых  популярных самолета. В  соответствии с
этим  существовали и две методики обучения:  школа Блерио и школа Фармана. В
России  применялась в основном  методика Фармана.  Остановимся подробнее  на
самолете "Фарман-4", на котором учился летать П. Н. Нестеров.
     По  своему  внешнему  виду  "Фарман-4"  очень  напоминал  уже описанные
балансирные   планеры,   но   он  был  больше  по  размеру,  имел  толкающую
винтомоторную  группу  с  ротативным двигателем  "Гном" мощностью 50 л. с. и
шасси с  колесами  и  полозьями.  На  первый взгляд  самолет  казался весьма
несуразным и неаэродинамичным. Из поверочного расчета  этого  самолета  было
получено его максимальное  аэродинамическое качество, равное со  4,5; но это
значение К соответствует  большому  значению Сy,  а  полеты  выполнялись при
качестве, равном 3,5-4,0.
     Несмотря на свое аэродинамическое  и  конструктивное  несовершенство, в
1910--  1911  гг.  самолет  "Фарман-4" имел  большое  распространение  и его
конструкции подражали очень многие конструкторы в Германии, Англии, России и
других    странах.   Конечно,    увлечение    самолетом   "Фарман-4"    было
кратковременным,  но  широко распространенным.  Этот  самолет  видели жители
многих городов России при полетах С. И. Уточкина, М. Н. Ефимова и других, на
"четверке"  начинали свою летную деятельность первые русские военные летчики
Л. М. Мациевич, Е. В. Руднев и многие другие.
     Первый летательный аппарат, который пришлось  увидеть автору в 1911 г.,
был  "Фарман-4"  под  управлением  С.  И.  Уточкина  на  московском  беговом
ипподроме. Летом 1917 г. автор, будучи учащимся средней  школы, подружился с
группой солдат --  учеников-летчиков московской авиашколы, которые обучались
на самолете "Фарман-4" почти без всякого наблюдения со стороны инструкторов,
сами обслуживали и ремонтировали этот летательный аппарат.
     Самолет   характеризуется   рядом   показателей.   Подобно  тому,   как
грузоподъемность  корабля определяется его водоизмещением,  грузоподъемность
аэростата --  его  газовым объемом, самолет,  прежде  всего, характеризуется
максимальной  величиной подъемной силы,  обеспеченной энергетически.  Каждый
летательный  аппарат,  в котором используется энергетический принцип полета,
расходует мощность своего двигателя и способен некоторое время, определяемое
запасом   топлива,   развивать   некоторую   максимальную   подъемную   силу
Ymax. He  нужно смешивать  рассматриваемую  подъемную  силу  с ее
предельной  величиной, которая может  быть  получена при  быстром увеличении
угла атаки и величина которой ограничивается прочностью конструкции.
     Следует указать, что  для планера,  не  имеющего двигателя,  тоже можно
рассматривать  длительно   действующую  подъемную  силу,  если  исходить  из
определенной допустимой скорости снижения при выполнении спирального спуска.
Тогда мы тоже будем  иметь некоторую исходную  мощность, равную произведению
веса планера на скорость снижения.
     Максимальная  подъемная   сила  самолета  равна  максимальной  величине
произведения  силы  тяги  на аэродинамическое качество  (Р•K)mах.
Определение Р•К осложняется  тем, что  сила тяги  зависит от скорости  V,  а
аэродинамическое качество --  от  угла атаки,  который в  свою очередь будет
определяться  как  скоростью, так  и величиной  Y. Подставив соответствующие
выражения для Р и V
     Pishnoff-19.gif
     и приняв аналитическое выражение для поляры
     Pishnoff-20.gif
     мы можем определить Y и затем отыскать его максимальное выражение.
     Однако часть  работы  мы уже проделали при нахождении скорости снижения
для планера.  Умножая  скорость снижения на  вес,  получим мощность, которая
потребовалась  бы  для  горизонтального   полета.  Подставляя   вес,  равный
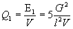
максимальной подъемной силе, мы получим максимальную полезную мощность:
     Pishnoff-21.gif
     Pishnoff-22.gif
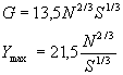
     Это    выражение     можно     несколько     видоизменить,    подставив
Kmах=0,785•l/F1/2:
     Pishnoff-23.gif
     Учитывая,   что    режим   полета   будет   несколько   отличаться   от
наивыгоднейшего, что на пониженной скорости и коэффициент полезного действия
будет уменьшен, а при винте фиксированного шага снизятся обороты двигателя и
несколько упадет мощность, в итоге получим:
     Pishnoff-24.gif
     Из  этих выражений  можно  сделать  очень  важные  выводы  о  свойствах
самолетов: при данной  величине вредной площади F  подъемная  сила,  которую
может  развивать  самолет,  зависит  в наибольшей  --  первой  -- степени от
величины размаха крыльев;  от мощности двигателей она зависит  слабее  --  в
степени 2/3; увеличение вредной площади влияет на подъемную силу очень слабо
-- в степени 1/6. Так,  например, при увеличении F в два раза подъемная сила
окажется уменьшенной только на 12%.
     Если рассматривать самолеты, подобные по форме, то подъемная сила будет
определяться  произведением  мощности  на размах крыльев.  При  поднятии  на
высоту подъемная  сила  будет убывать  пропорционально  корню  кубичному  из
изменения плотности воздуха и, кроме того, соответственно изменению мощности
двигателей с высотой в степени  2/3. Зная  величины  максимальной  подъемной
силы  на  разных  высотах,  мы легко  можем определить  высоты потолков  при
различных полетных весах.
     Полет   на  самолете  будет  надежен  только  при  наличии  возможности
маневрирования. Иными словами,  полетный вес должен быть существенно меньше,
чем величина максимальной  подъемной силы.  Изучение характеристик самолетов
показало, что при полете на малой высоте вес самолета не должен превосходить
60-65% максимальной подъемной силы, однако, даже у маломаневренных самолетов
вес, как правило, не  превышает 50-55%  максимальной подъемной силы на малой
высоте. В дальнейшем при рассмотрении характеристик летательных аппаратов мы
будем  прежде   всего  определять  максимальную  подъемную  силу,  пользуясь
приведенными приближенными формулами, или  производить более точный расчет с
помощью метода, который будет изложен далее.
     Pishnoff-25.gif
     Рис. 3.  Схема  учебного  самолета  "Фарман-4"  (1909 г)  с  ротативным
двигателем "Гном" мощностью  50 л. с. Размах крыльев 10,5 м; площадь крыльев
42 м2; вес пустого  самолета около 350  кГ; полетный вес  с одним
летчиком 500 кГ.
     Перейдем к  рассмотрению характеристик  и свойств  самолета "Фарман-4".
Как видно  из схемы,  приведенной на  рис.  3, это  биплан с  прямоугольными
крыльями, многочисленными стойками и растяжками.  Двигатель толкающий, т. е.
расположенный  позади  крыльев и  позади центра  тяжести. Хвостовое оперение
тоже   бипланное  и  соединено  с  коробкой  крыльев  деревянной   фермой  с
проволочными растяжками. На хвостовом оперении находятся задний руль  высоты
и два руля направления. Спереди  на небольшой ферме установлен передний руль
высоты. Оба руля  -- задний и  передний  --  отклоняются  одновременно,  но,
естественно, в  разные стороны.  Интересно, что у  ранних вариантов самолета
был только  передний руль, затем был добавлен и задний, а еще позже передний
руль  вместе с  фермой  был  убран. Элероны  имеются  на  обоих крыльях,  но
управление ими сделано упрощенное и они могут отклоняться только вниз.
     В центральной части  самолета установлена  грузовая  рама  в  виде двух
брусков, соединенных поперечинами. В задней части рамы установлен двигатель,
а  в  передней  --  два сиденья,  ручка  управления и  ножная педаль;  ручка
помещена  не  в  центре,  как  обычно,  а  справа.  Летчик и  пассажир сидят
совершенно  открыто в воздушном  потоке. Управление  двигателем производится
при помощи крана подачи бензина и "контакта" -- включателя зажигания.
     Ротативный двигатель "Гном" имел очень широкое распространение в период
1909-- 1914 гг. Его устройство интересно тем, что коленчатый вал  закреплен,
а цилиндры, расположенные  звездообразно, вращаются вместе  с картером. Винт
прикрепляется  к   картеру.  Устройство  двигателя  очень  просто,  вес  его
небольшой: двигатель мощностью 50 л. с. весил 76 кГ. Экономичность двигателя
была низкая и надежность его невысокая, однако, при умелом уходе он  работал
достаточно надежно. П. Н.  Нестерову пришлось летать только  на  самолетах с
ротативными  двигателями  и  даже  совершать  на  них  довольно   длительные
перелеты.
     Учитывая бипланную схему, мы можем получить эквивалентный размах
     
     Величину F можно найти по известной нам максимальной скорости самолета,
равной 65  км/час, или 18 м/сек; приравнивая выражения для тяги 75Nh/V и сил
сопротивления, мы получим значение F:
     Pishnoff-27.gif
     для h=0,75 и G=500 кГ получим F=4,5-5 м2.
     Теперь      найдем     максимальное      аэродинамическое      качество
Kmах=0,78lэ/F1/2=4,2 и скорость  полета  на
максимальном качестве
     или 47 км/час.
     Важно  посмотреть,  какому значению Cу это  соответствует. Значение  Cу
равно удельной нагрузке на крыло, деленной на скоростной напор:
     Pishnoff-29.gif
     Интересно, что в это выражение не  входит  размах крыльев. Для самолета
"Фарман-4" мы  получим Cун=1,1; это довольно большое значение Cу,
близкое к  предельному;  для полета на  минимальной мощности мы  получили бы
Cуэ=1.73Cун=1,9  --  что   явно   выше   максимального
значения.  Из  этого мы можем сделать вывод, что  увеличение ширины  крыльев
позволило бы увеличить максимальную подъемную силу.
     Определяя  Ymах, мы  должны исходить  из  условия полета при
максимальном качестве, а не на экономичном режиме. Учитывая приближенно, что
на пониженной скорости будет уменьшен коэффициент полезного действия винта и
уменьшена мощность двигателя из-за уменьшения числа  оборотов  двигателя, мы
примем h=0,7 и N=47 л. с.; тогда получим:
     
     При полетном  весе,  равном 500 кГ,  запас подъемной силы  будет  равен
nу=Yн/G=1,4-1,45.  Это  довольно  малый  запас, но для
полета  на  малых  высотах  с ограниченным  маневрированием достаточный. При
полете  с  пассажиром  полетный  вес  будет равен приблизительно  580  кГ  и
ny=1,25. Это  уже очень  малый  запас, и  подобные полеты,  в том
числе, и учебные, производились на малых высотах в хорошую погоду. В 1910 г.
летчик Е. В. Руднев совершил перелет  с пассажиром из  Петербурга в  Гатчину
дальностью  около 65  км.  Этот перелет  происходил  в  условиях  пониженной
температуры, когда мощность двигателя увеличилась примерно на 4% и плотность
воздуха -- на 7-8%; это дает увеличение Y  на 5% и тогда Ymах=760
кГ.
     При   неработающем   двигателе   воздушный   винт   дает   значительное
дополнительное сопротивление, особенно, если он вращается; значение F в этом
случае равно примерно 5,5 м2  и  аэродинамическое качество  около
3,9 при Су=1,3. Спуск нужно производить с запасом  скорости, когда  Су будет
не более  0,8 и аэродинамическое качество окажется равным примерно  3,5. Это
будет   соответствовать    довольно   крутому   планированию    под    углом
16,5о при скорости 15,5 м/сек и при скорости снижения 4,5 м/сек.
     Низкое  аэродинамическое  качество при  малой скорости  полета вызывает
очень неблагоприятные  явления при  внезапном уменьшении тяги. Допустим, что
самолет летит горизонтально и тяга равна силе сопротивления. К высоте полета
h  прибавим  кинетическую  высоту hк=V2/2g  и  получим
энергетическую  высоту  hэ=h+hк.  В  случае  остановки
двигателя начнется падение уровня энергии по условию Dhэ=-Ds/K, и
линия уровня энергии резко переломится. Траектория полета  будет  изменяться
более плавно. Выражение для подъемной силы  можно  дать  через  кинетическую
высоту Y= Суrghк
     Из рис. 4 легко видеть, что сразу же после остановки двигателя начнется
резкое уменьшение hэ примерно по условию
     
     Если в исходном полете V=18 м/сек, hк=16,6 м, то через 2 сек
после остановки двигателя самолет пройдет путь около 30 м и уровень  энергии
понизится на  9  м.  За  это время  самолет не успеет существенно  уменьшить
высоту и  потому  величина hк окажется  уменьшенной  почти в  два
раза,  а  вместе  с  ней  и  подъемная  сила.  Самолет  окажется  в  условии
возмущенного  движения  по  отношению  к  траектории   планирования,  опишет
некоторую  волнообразную траекторию и через  некоторое время  может  войти в
режим планирования с постоянной скоростью.
     Pishnoff-33.gif
     Рис. 4. Схема полета самолета "Фарман-4" при остановке двигателя
     Важно обратить  внимание, сколь быстро произошла  потеря скорости. Если
летчик инстинктивно попытается удержать  самолет от "проваливания", скорость
упадет  еще более резко; гораздо лучше было бы энергично уменьшить подъемную
силу быстрым  наклонением самолета вниз, и еще лучше, если бы самолет сам, в
силу своей устойчивости, автоматически уменьшил угол тангажа.
     К  сожалению,  самолет "Фарман-4" вследствие очень задней центровки  не
имел такой  тенденции и, если летчик не наклонял его  с  помощью руля высоты
довольно  круто  вниз,  он  оставался  примерно  в  исходном  горизонтальном
положении. Почти все аварии этого самолета происходили в результате перехода
его в  парашютирование в случае внезапной остановки двигателя  или при вялом
переводе самолета на планирование.
     Автору  приходилось  не  раз  наблюдать  эти  явления  и  видеть  много
фотографий  аварий  самолета  "Фарман-4"  в  результате  потери  скорости  и
перехода в парашютирование. К  счастью, благодаря малой удельной нагрузке на
крыло  и  некоторым  особенностям  аэродинамики при парашютировании  самолет
снижался довольно медленно, с небольшим  углом крена. Самолет  в этом случае
почти не разбивался, а летчик вообще не страдал при ударе.
     На  рис.  5 показаны  основные  летные  характеристики,  полученные  из
поверочного аэродинамического расчета  самолета "Фарман-4"  для веса 500 кГ.
Потолок самолета, оказался несколько менее 2000 м.
     
     Рис  5.   Основные  летные   характеристики  самолета   "Фарман-4"   по
поверочному расчету
     Остановимся  еще  на  этом  самолете как  на учебном. В 1909-- 1910 гг.
системы обучения еще  не  было  разработано.  Естественно, что  конструкторы
первых самолетов учились  летать самоучкой, начиная с  рулений и подлетов по
прямой; повороты тоже вначале делали без крена. Затем стали складываться две
системы  обучения.  Одна  --  система  Блерио,  по  которой  ученик  начинал
самостоятельно рулить на специальном самолете, вообще не способном взлететь.
Затем он переходил на другой одноместный самолет, который мог подлетывать, и
так постепенно осваивал пилотирование. Бывали примеры, когда человек,  купив
самолет, сразу  на нем вылетал; так, например,  было с известным летчиком С.
И. Уточкиным, однако, он был разносторонним спортсменом.
     У  самолета "Фарман-4" два сиденья  были расположены друг за  другом  в
передней  части  рамы,  которая  свешивалась  перед  крылом;  ножная  педаль
предназначалась   для   сидящего  впереди  летчика.  Ручка  управления  была
расположена справа  так, что за нее летчик  держался только  правой рукой, а
пассажир тоже  мог до  нее  дотянуться.  Ноги пассажира просто свешивались с
крыла, а левой рукой он придерживался за стойку.
     Управление двигателем состояло из выключателя зажигания -- "контакта" и
крана подачи бензина. Работа двигателя контролировалась "на  слух", и только
для контроля работы поршневого  масляного  насоса имелся "стаканчик", т.  е.
стеклянный пузырек, в  котором  уровень масла колебался 84 раза в минуту при
вращении  двигателя с угловой скоростью 1200 об/мин. Считая пульсации масла,
можно было примерно установить число оборотов двигателя. Для контроля высоты
летчик привязывал к ноге высотомер.
     Взлет  самолета  происходил  следующим  образом:  6-8  человек  держали
самолет,  а техник  пролезал  в  хвостовую ферму и, убедившись, что  контакт
выключен  (спросив  об  этом  летчика), проворачивал винт и  ставил  его  на
компрессию. Затем он командовал: "Контакт!" -- и рывком проворачивал винт, а
летчик  в это время включал  зажигание.  Если  двигатель  не заработал,  все
начиналось сначала; если начинались вспышки, техник быстро убегал, а самолет
держали до тех  пор, пока  двигатель  не  разовьет полное число  оборотов  и
летчик не махнет рукой, чтобы самолет отпустили, и тогда начинался разбег.
     Длина разбега у самолета "Фарман-4" была  около  60  м и разбег занимал
6,5-7  сек.  Описанный  порядок  взлета   применялся  на  всех  самолетах  с
ротативными двигателями "Гном", так как они  не имели "малого  газа"  и  при
отсутствии  поступательного   движения   быстро  перегревались.   Ротативные
двигатели "Рон" и "Клерже" могли работать на сравнительно малых оборотах, но
все  же  быстро  перегревались,  и  потому,  как  только  двигатель  начинал
устойчиво работать на полной мощности, летчик давал сигнал отпустить самолет
и начинал разбег.
     При  обучении  на  самолете "Фарман-4"  вначале  ученик  сидел  сзади и
держался  за ручку управления над рукой инструктора. После усвоения  техники
управления  ручкой  ученик   делал   рулежки   для  освоения   работы  рулем
направления, а затем начинал совершать полеты с инструктором, который в этом
случае  сидел уже  сзади  и мог только  исправлять движения  ученика ручкой.
Через 20-- 30 полетов ученика выпускали в самостоятельный полет.
     Следует указать, что  тяжелые аварии на самолете "Фарман-4" были редки,
а поломки очень часты. Конструкция самолета состояла из лонжеронов сплошного
прямоугольного  сечения,  обтекаемых  стоек  сплошного  сечения, проволочных
растяжек, ушковых болтиков и  алюминиевых стаканчиков, в которые вставлялись
концы стоек. Поэтому ремонт самолета был очень прост,  и только  регулировка
натяжения "паутины" растяжек требовала опыта и времени.
     Для получения  диплома на  звание пилота-авиатора требовалось выполнить
два  полета:  в одном  из них совершить 10 восьмерок, а в  другом  --  после
получасового  полета  на  высоте  100  м  --  совершить  посадку планирующим
спуском.
     Остановимся  на  некоторых вопросах устойчивости  самолета  "Фарман-4".
Центр  тяжести самолета, по  грубым  расчетам, был расположен на расстоянии,
равном 45-50%  длины  хорды,  от ее  передней кромки.  Фокус крыла  лежал на
расстоянии,  равном  25% длины  его  хорды; хвостовое  оперение,  большое по
площади (23% площади крыла) и  с большим  плечом, относительно мало  смещает
фокус назад из-за небольшой величины его удлинения и сильного действия скоса
потока  от крыла.  Передний  руль высоты, несмотря  на меньшую его площадь и
меньшее плечо, благодаря более значительному удлинению и отсутствию  влияния
скоса  потока от  крыла  почти  полностью  нейтрализует смещение  фокуса  от
оперения, и в итоге фокус самолета находился примерно на расстоянии,  равном
27-28% длины  хорды,  от  ее  передней кромки. Таким  образом, при центровке
45-50%   самолет   должен   быть   сильно   неустойчивым   по   углу   атаки
(xо/b=-0,2). Однако,  как  известно,  устойчивость по  перегрузке
зависит   не  только   от  отношения   xо/b,  но  и  от   эффекта
демпфирования,  который для  самолетов, подобных самолету "Фарман-4",  очень
велик.  И  действительно, жалоб на неустойчивость  самолета не было, хотя  о
полете с брошенной ручкой в то время и не помышляли. Жаловались на то, что у
самолета происходит  "провисание хвоста" при посадке.  Это  значит, что  при
увеличении  угла  атаки  хвост  имеет  стремление опускаться,  и  это  нужно
парировать  передвижением ручки "от себя".  Это и  есть типичное  проявление
задней центровки,  когда балансировочная диаграмма по отклонению руля  имеет
обратный ход.
     В  журнале  "Воздухоплаватель"  того  времени была помещена  статья,  в
которой   указывалось  на   вредные   последствия   забрызгивания  хвостовых
поверхностей  перегорелым маслом, которое обильно  вылетало  из  ротативного
двигателя,  и  вместе  с  грязью  значительно  утяжеляло  хвост и  усиливало
"провисание хвоста". Хотя самолет  "Фарман-4"  и служил в качестве  учебного
почти 7 лет,  он мало соответствовал  требованиям, предъявляемым  к учебному
самолету. При  полете  даже  в  небольшую "болтанку" требовались  отклонения
рулей, близкие к предельным. Элероны, которые отклонялись только вниз, имели
слабую эффективность;  крутое планирование  при задней центровке  затрудняло
посадку  с  большой высоты.  Наконец,  у самолета  очень  сильно  проявлялся
гироскопический  эффект  вращения  винта и  двигателя --  при  вираже  влево
самолет "клевал",  а при вираже вправо  -- резко  кабрировал, что  требовало
энергичной работы рулем высоты.
     Интересно  отметить,  что  на  некоторых  самолетах  "Фарман-4"  просто
отбрасывали передний  руль высоты; от этого центр тяжести немного  сдвигался
назад,  но  зато  фокус  самолета  сдвигался  назад  значительно  больше,  и
нейтральная  центровка  оказывалась  равной 39-40%.  В защиту переднего руля
высоты  приводили  тот  довод,  что  он  служит  ориентиром  при  управлении
самолетом  и  что  в полете он  должен быть параллельным линии  горизонта  и
немного выше его. Известный инструктор московской военной авиационной  школы
А.  Я.  Докучаев,  выбросив  передний  руль  высоты,  поставил  впереди  для
ориентировки легкую рамку.
     П. Н. Нестеров прошел через опыт полетов на самолете "Фарман-4"; у него
сложилось,   несомненно,  весьма  неблагоприятное  впечатление  о  средствах
управления этим самолетом и о его возможностях маневрирования.




     Закончив обучение на самолете "Фарман-4", П. Н. Нестеров был  направлен
в  Варшавскую авиационную школу  для переучивания на  монопланах "Ньюпор-4",
которые в 1912 г.  вместе с  самолетами "Фарман-16",  состояли на вооружении
русской военной  авиации. В авиационной  литературе  того времени можно было
найти  много  высказываний  на  тему:  "Моноплан  или  биплан?" Соревнование
моноплана  и  биплана   продолжалось  до  1930--   1935  гг.  и  закончилось
окончательной победой моноплана.
     В период 1909-- 1913 гг. опыт самолетостроения показывал, что монопланы
получаются   несколько   более    быстроходными,   а   бипланы    --   более
грузоподъемными. Это определялось тем, что бипланную расчалочную ферму можно
было  сделать со значительно большим размахом,  чем расчалочную монопланную.
Наиболее убедительно это было продемонстрировано на самолете "Илья Муромец",
который имел размах  37 м. Сделать моноплан с таким размахом в те времена не
представлялось возможным.
     С началом первой мировой войны 1914-1918 гг. расчалочные монопланы были
почти  совсем  изъяты  из  авиации  как совершенно  неудовлетворительные  по
обзору. Оставался только один моноплан -- Моран "Парасоль" (т. е. "Зонт"), у
которого расчалочное крыло  было поднято над фюзеляжем и благодаря этому был
получен прекрасный  обзор  вниз. Казалось, что в отношении обзора была лучше
схема с толкающим винтом, когда экипаж размещался в гондоле, расположенной в
самой передней части самолета. Таковы  были самолеты "Фарман-16", -22, -27 и
-30 и Вуазен L.A.S, которые состояли на вооружении русской авиации вплоть до
гражданской войны.
     Однако "толкающие" бипланы были хуже в аэродинамическом отношении, и их
задняя полусфера оставалась незащищенной  от  атак  истребителей противника.
Встретив  противника  в воздухе,  эти самолеты  были вынуждены переходить на
крутые виражи, стараясь повернуться к нему носом, и это иногда удавалось.
     Наибольшее  развитие получили "тянущие" фюзеляжные  бипланы, у  которых
гармонично  сочетались  конструктивные   преимущества  с  удовлетворительным
обзором земли и воздуха и была обеспечена защита передней и задней полусфер.
Маленькие фюзеляжные бипланы оказались аэродинамически и в весовом отношении
более выгодными, чем расчалочные монопланы типа "Ньюпор-4"  или "Моран-G", о
которых  мы  еще расскажем  далее. С улучшением  аэродинамики и  переходом к
свободнонесущим конструкциям  весовые преимущества  бипланов были  утрачены.
При больших размахах крыльев свободнонесущий моноплан оказался более легким.
     Возможность    уменьшить   ширину   крыла,    снабженного    посадочной
механизацией, и опустить  свободнонесущее крыло вниз дала преимущества малым
монопланам-истребителям. Эта схема являлась основной в период второй мировой
войны.  Интересно,  что  с  переходом  на реактивные  двигатели  опять стала
применяться  "толкающая"  схема,  но  она  логично  увязывалась  с   хорошей
аэродинамической  схемой. Один из недостатков толкающей схемы остался -- это
сложность  обеспечения удовлетворительной  центровки самолета,  так как  вес
двигателя  в этом случае  нужно компенсировать  другими весами,  выдвинутыми
далеко  вперед, и  самолеты  стали длинноносыми. При  тянущей  схеме,  когда
двигатель  находится впереди, топливо и  грузы  удобно размещаются  в районе
центра тяжести самолета.
     После такого отступления мы  вновь вернемся к временам П. Н. Нестерова,
когда   расчалочный   моноплан   привлекал  летчиков   своей   скоростью   и
маневренностью.  Опишем  сначала  самолет  "Ньюпор-4",   на  котором  П.  Н.
Нестерову  удалось  достигнуть  замечательных результатов  по  осуществлению
высшего пилотажа, и затем  -- "Моран-G", на который П. Н. Нестеров перешел в
1914 г. и, летая на котором, он погиб в воздушном бою.
     Самолет "Ньюпор-4" был французской конструкции; он был закуплен русским
военным ведомством  во  Франции  в 1911--  1912  гг. и  строился на  русских
заводах  вплоть до конца 1915 г. В печати того  времени можно найти упреки в
адрес военного  ведомства за  неудачный выбор этого  типа  самолета.  С этим
нельзя  в  полной  мере  согласиться; конструкции  в  тот период  так быстро
менялись, что через один-два года они уже устаревали.
     В  1911 г.  самолет  "Ньюпор-4"  был,  несомненно,  передовым  по своей
аэродинамике  и летным  характеристикам  и, безусловно,  превосходил  широко
распространенные  самолеты того времени  -- моноплан  "Блерио-11"  и  биплан
"Фарман-4". Однако в 1913 г. самолет "Ньюпор-4" уже устарел и его пора  было
заменять, но это не было сделано, пока начавшаяся в 1914 г. война не выявила
его полную  непригодность  для  каких-либо военных  целей. Но  положительные
качества самолета проявились в дальних перелетах; в перелете Севастополь  --
Петербург  в  1912  г., осуществленном  летчиками  В. В.  Дыбовским  и Д. Г.
Андреади, и в перелете  по  маршруту Киев--  Гатчина, осуществленном  П.  Н.
Нестеровым в 1914 г. всего за один день. Запас мощности и  высокая прочность
самолета "Ньюпор-4"  позволили П. Н.  Нестерову  выполнять глубокие виражи и
петлю, что являлось серьезным испытанием для самолета.
     Pishnoff-35.gif
     Рис.  6. Самолет "Ньюпор-4"  (1911  г.) с ротативным  двигателем "Гном"
мощностью  70   л.   с.   Площадь   крыльев  с  подфюзеляжной  частью   21,5
м2;  вес  пустого  самолета около 450  кГ; полетный  вес с  одним
летчиком 600 кГ.
     Крупным  недостатком  самолета-моноплана  "Ньюпор-4"  был очень  плохой
обзор земли, что  было общим недостатком  монопланов того времени. Как видно
из схемы самолета (рис. 6), голова летчика находилась невысоко над серединой
крыла  (ширина крыла 2,5  м).  Другим недостатком, тоже общим для монопланов
того времени, было  тяжелое  поперечное  управление, осуществлявшееся  путем
искривления крыльев. Для этой цели  тросы идущие к переднему лонжерону, были
закреплены жестко,  а  тросы, идущие от заднего лонжерона, соединялись через
рычажки или ролики и могли перемещаться так,  что, если конец левого заднего
лонжерона опускался, конец противоположного  лонжерона  поднимался.  То, что
управление было тяжелым,  объяснялось  не только деформированием конструкции
при перекашивании  крыла,  но главным  образом  тем,  что  ось, относительно
которой   поворачивалось    крыло,   находилась   на    расстоянии,   равном
приблизительно 10% длины хорды, от передней кромки, а сама хорда имела длину
около  2 м. В итоге  аэродинамические шарнирные моменты были велики. Переход
на  элероны  у  монопланов  произошел  значительно  позже.   Для  облегчения
управления  фирма "Ньюпор"  применила такую систему управления, при  которой
искривление  крыльев для  управления  креном выполнялось ножными педалями, а
рулем  направления  управляли  посредством  боковых  движений  ручки.  Такое
управление не получило  распространения, но оно  затрудняло переход на  этот
самолет с самолетов  других типов или с него  на  другие. Во всяком  случае,
подобная  система управления  считалась одним из основных  минусов самолета.
Рассматривая схему  самолета,  мы можем констатировать, что  она  напоминает
схемы  многих  других  самолетов,  которые  строились  значительно  позже  и
отличались от нее  только  некоторыми деталями. Самолет  имел трапециевидное
крыло  умеренного сужения  с  удлинением  около  5;  киль отсутствовал,  что
являлось обычным для того времени; руль высоты был относительно невелик.
     Самолет  мог бы  иметь довольно высокое аэродинамическое качество, если
бы его не ухудшали  некоторые детали: довольно грубая носовая часть, с малым
развитием  выпуклых  поверхностей,  нужных   для  возникновения  разрежений;
большая длина  тросовых расчалок и  сложное шасси,  когда в силовую  систему
входили  передняя и задняя пары подкосов, а средняя пара служила  только для
шасси. Для  амортизации служила обычная  рессора, стоявшая  поперек потока и
совершенно не обтекаемая. При  эффективном удлинении,  равном приблизительно
4,6, и  Сх0=0,1  аэродинамическое  качество самолета  было  равно
примерно 6.  Нужно сказать,  что  по сравнению с самолетами того времени это
было  приличное  качество,  обеспечивающее  достаточно   пологий  спуск  при
планировании и простой переход от моторного полета к планированию.
     Интересно, что профиль крыла был S-образный, т. е. с  перегибом средней
линии и  примерно постоянным положением центра давления. На других самолетах
обычными были профили с  очень большой  кривизной средней линии. В то  время
некоторые  специалисты  полагали,  что постоянство центра  давления улучшает
продольную  устойчивость.  На  самом  деле это приводило только к  некоторым
прочностным преимуществам  и к  существенному ухудшению  несущей способности
крыла  при больших углах атаки. Этим, может быть, объясняются  имевшие место
катастрофы в результате сваливания на крыло. Центровка самолета  неизвестна,
но нужно  думать,  что она  была  не  более  40%, что для того времени можно
считать довольно передней  центровкой. Нейтральная центровка с зажатым рулем
и   без  учета   эффекта  демпфирования  составляла  42-44%.  Самолет   был,
несомненно,  устойчив  по  перегрузке  и, вероятно,  по  скорости.  Для того
времени это было редким положительным качеством.
     Автору  приходилось наблюдать  полеты на самолетах  "Ньюпор-4" в 1914--
1915 гг. Полет  выглядел  спокойным и плавным, только  при  рулении  самолет
сильно   раскачивался  из-за  малой  базы  колес  и  мягкости  рессоры.  При
ознакомлении с конструкцией самолета  сложилось впечатление, что лонжероны и
тросовые  расчалки имели  большой запас прочности, хотя  прочность,  видимо,
вообще не  проверялась при  статических  испытаниях,  как  не проверялась  и
центровка.
     Из  сказанного  выше следует, что по  устойчивости  и прочности самолет
подходил для выполнения высшего пилотажа. Катастрофы с самолетом происходили
в  основном в результате сваливания на крыло  при потере скорости. Это можно
объяснить  в известной  мере  свойством  профиля  крыла --  с резким  срывом
обтекания. Одна  катастрофа произошла при крутом спуске по прямой линии,  из
которого летчик,  видимо, не смог  вывести самолет и врезался  в землю. Этот
случай объясняли потерей жесткости фюзеляжа после грубых посадок в сочетании
с малой эффективностью руля высоты. Известен случай поломки крыльев самолета
при резком выравнивании во время посадки, когда  поломались подкосы шасси, к
которым крепились  несущие  расчалки.  Видимо,  в  данном случае  имел место
производственный дефект или же было повреждено шасси при грубых посадках.
     Автор был свидетелем катастрофы самолета, при которой  погиб  летчик С.
В. Гулевич осенью 1915  г. На высоте более 1000 м самолет вдруг начал быстро
вращаться  вокруг  продольной   оси  и,  продолжая  вращаться,  в  состоянии
пикирования  дошел до  земли и разбился. В  то время о штопоре знали  мало и
умышленного  штопора  не  делали. По  характеру движения  причину катастрофы
можно было приписать невыходу из штопора.
     Однако некоторые обстоятельства говорят  против этой версии. Во-первых,
как это  запомнил автор, фюзеляж самолета был в вертикальном положении, чего
не бывает  при  штопоре,  когда  наклон  фюзеляжа  по отношению к  вертикали
составляет  не менее 20о. Самолет был разрушен очень сильно, чего
не бывает при штопоре самолета с малой удельной нагрузкой на крыло.
     Наконец, в некрологе, посвященном С. В. Гулевичу, проф. Н. Е. Жуковский
указывает,  что ножная педаль, при помощи которой  производилось  управление
креном,  была отъединена  от трубы управления.  Это  могло  произойти и  при
ударе,   но  если  это  имело  место   в   полете  в  результате   выпадения
соединительного болтика, все происшедшее будет вполне объяснимо.
     В  самом  деле,  если  у  самолета  произойдет разъединение  управления
элеронами,  они займут  нейтральное  положение, так как шарнирный  момент их
значительно сильнее зависит от угла отклонения, чем  от изменения угла атаки
крыла.  Другое дело  --  перекашивание крыльев,  когда  степень  зависимости
шарнирных  моментов от  угла  перекашивания  и  от изменения  угла атаки при
движении  крена одинакова,  и  после перекашивания  крылья так и остаются  в
приданном им  положении,  а  самолет,  начав  вращение,  продолжает его. При
невозможности  остановить  вращение  самолет  неизбежно  будет  двигаться по
вертикали, так как подъемная сила будет поворачиваться вместе с крылом.
     Перейдем   к  рассмотрению   летных  характеристик  самолета.  Основной
характеристикой является запас подъемной силы, т. е.  отношение максимальной
подъемной силы к весу. Подъемную силу определим по формуле
     Pishnoff-36.gif
     При максимальном аэродинамическом качестве  Кmах=6,  N=70 л.
с. и размахе крыльев l=10,6 м получим максимальную подъемную силу
     Pishnoff-37.gif
     При нормальном полетном  весе, равном  680 кГ,  Ymax/G=1,47;
при весе, равном 600  кГ, который,  вероятно, близок к  весу, имевшему место
при выполнении петли  П. Н. Нестеровым, Ymax/G=1,67;  для пустого
веса          самолета         G0=450         кГ         величина
Ymax/G0=2,2.  Более  простыми  характеристиками служат
величины, применяемые для статистики:
     Pishnoff-38.gif
     Pishnoff-39.gif
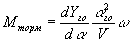
     По полученным значениям можно сделать такие выводы: по запасу подъемной
силы   самолет   может   быть   отнесен   к   категории   средненагруженных,
маломаневренных самолетов. Значение KG=8,3 близко к таковому  для
современных винтовых самолетов; значение KGo=5,5 несколько велико
и говорит о  некотором перетяжелении конструкции.  При весе 600 кГ  величина
Ymax/G=nу=1,67  позволяет  маневрировать  со   средним
значением перегрузки 1,6, например,  делать длительные виражи с креном около
50о. Как известно, П. Н.  Нестеров выполнял более  крутые виражи;
очевидно, они выполнялись со скольжением, когда наличие нагрузки на  боковые
стенки   фюзеляжа  позволяет  увеличить  крен,  не   уменьшая   вертикальной
составляющей от подъемной и боковых сил.
     На рис.  7,  8 и 9  приведены  результаты поверочного аэродинамического
расчета самолета "Ньюпор-4". На рис.  7 дана поляра и зависимость Су от угла
атаки;  в нижней  части  графика  дан  профиль  крыла.  На рис. 8  приведены
зависимости  мощностей, потребных для  преодоления сопротивления, и полезных
мощностей  от скорости для высот 0, 1, 2 и 3 км, в  условиях горизонтального
полета  при полетном весе  600 кГ. По пересечениям кривых получаем  значения
максимальных  скоростей  горизонтального  полета;  по  максимальной разности
мощностей  получим  избытки  мощности  DN,  по  которым  затем  можем  найти
вертикальные скорости Vy=75 DN /G.
     Pishnoff-40.gif
     Pishnoff-41.gif
     Рис. 7. Поляра и профиль крыла самолета "Ньюпор-4":

     Pishnoff-42.gif
     Рис.  8. График  мощностей  для самолета "Ньюпор-4":  сплошные линии  -
потребные мощности; пунктир - располагаемые мощности.
     На рис. 9  даны  зависимости  максимальной  скорости Vmax от
высоты;  вертикальной  скорости  от  высоты  при  скорости  Vнаб;
скорости при  наборе высоты  Vнаб и  минимальной  скорости полета
Vmin. Кроме  того, на  графике  приведены  зависимости  высоты от
времени подъема  t при скорости Vнаб.  Графики  даны для полетных
весов 600 и 680 кГ.
     Pishnoff-43.gif
     Рис. 9. Основные летные характеристики самолета "Ньюпор-4" при полетных
весах 600 и 680 кГ
     При  более  точном расчете  мы  получили  максимальную  подъемную силу,
равную 980 кГ, при скорости V=25,8  м/сек (93 км/час). При полетном весе 600
кГ это  даст  перегрузку ny=l,63; ее  горизонтальную составляющую
nгор=1,29;   центростремительное  ускорение   jцс=12,6
м/сек2;        отсюда         получим        радиус        виража
r=V2/jц.с.=53  м  и  время  совершения  полного  круга
t=2pr/V=13 сек.
     Посмотрим теперь, как должна была выглядеть  петля, которую выполнил П.
Н.  Нестеров.  Расчет петли  удобно  и  наглядно можно выполнить  исходя  из
энергетических  принципов.  Величину   hк=V2/2g  будем
называть  кинетической высотой  --  она  характеризует кинетическую  энергию
летящего  самолета;  при полете  на минимальной  скорости  получим  величину
hк0=V2min/2g;  для самолета  "Ньюпор-4" при
полетном весе 600 кГ, hк0=18,5 м.
     Таким образом,  для коэффициента перегрузки  nу получим одно
условие по скорости:
     Pishnoff-44.gif
     второе условие будет по прочности: nу< nу доп.
Поскольку  мы  не знаем действительной  прочности  самолета, примем  nу
доп=3,5,  что   достаточно   для  выполнения   петли.  В  пределах  от
nу=0   до  nу  mах  мы   можем  произвольно
выбирать  значения  nу,  в  зависимости  от  желаемого  характера
траектории; при движении по прямой  мы всегда должны брать nу=соs
q.    Для    получения     минимального    радиуса    кривизны    траектории
nу=hк/hк0, но не более nу доп.
     Практически  целесообразно  выбирать  такую  перегрузку,  при   которой
самолет будет обладать  аэродинамическим качеством, близким к максимальному;
это    будет    иметь    место   при    условии    Сy2
/plэ=Cх0. Значение nу н (т. е. при  Cу
н) можно представить в виде
     Pishnoff-45.gif
     где hк.н  -- кинетическая высота горизонтального полета  при
максимальном аэродинамическом качестве
     Pishnoff-46.gif
     Для рассчитываемого случая Cун=1,15; hк.н=21,5 м.
Таким образом, при выполнении криволинейного движения следует придерживаться
перегрузок, определяемых условием  nу= hк/21,5,  но не
более  3,5  и  не  более ny=  hк/18,5.  Имея  значение
перегрузки  nу  и  hк,   мы  можем  определить  радиус
кривизны траектории в вертикальной плоскости:
     Pishnoff-47.gif
     Это  будет  первым  уравнением  для  расчета  петли.  Второе  уравнение
позволит рассчитывать значение hк. Для  этой  цели мы  используем
выражение, связывающее коэффициент продольной перегрузки с изменением уровня
энергии самолета:
     Pishnoff-48.gif
     Значение nх может  быть раскрыто как функция hк и
nу; для Р/G  мы подобрали  линейную зависимость от hк,
которая    справедлива    в    нужном    диапазоне   скоростей    P/G=0,28--
0,0016hк.
     Для Q/G получим
     Pishnoff-49.gif
     Подставив
     Pishnoff-50.gif
     Pishnoff-51.gif
     получим
     Pishnoff-52.gif
     В итоге, для полета с работающим двигателем будем иметь
     Pishnoff-53.gif
     При  полете  с  выключенным  двигателем  мы  отбрасываем  тягу  винта и
добавляем его сопротивление, что дает DCx0=0,03, и тогда получим
     Pishnoff-54.gif
     Вообще говоря,  можно  было  бы вместо формул  для  nх  дать
график.  Таким образом, мы имеем два уравнения: одно для радиуса кривизны --
простое,   и   для  уровня   энергии   --   дифференциальное.  Кроме   того,
вспомогательные связи: hэ=h+hк; ds= rdq; dh=ds sinq.
     За  текущую  координату  может быть выбран  путь  s  или угол  поворота
касательной   к   траектории   q.  Производя   расчет  движения,   пользуясь
дифференциальным уравнением, выбираем  шаг расчета Ds или Dq;  первый --  на
прямолинейных участках,  а на криволинейных  участках удобнее брать  Dq, так
как мы всегда будем знать среднее значение угла q.
     Численное    интегрирование     усложняется    необходимостью    делать
последовательные приближения или брать очень  малые  значения  шага.  Работа
упрощается, если возможна экстраполяция средних значений величин, входящих в
формулы.  Приняв некоторый  шаг для  угла наклона  траектории Dq, мы получим
следующие формулы:
     Pishnoff-55.gif
     В  очередном  интервале  расчета мы знаем  q, выбираем nу  и
вынуждены экстраполировать величину hк. ср; если после выполнения
расчета hк.  ср окажется  иным, мы должны повторить расчет. Чтобы
улучшить   экстраполяцию,   следует  в   процессе  расчета  строить  графики
hэ  и  h пo s и рядом с ними траекторию так, чтобы  масштабы были
одинаковы. На рис.  10 и 11 показаны  результаты расчета  петли для самолета
"Ньюпор-4" применительно к условиям выполнения ее П. Н. Нестеровым.
     За  исходные условия был взят горизонтальный полет на  высоте 900 м при
скорости 90 км/час, что давало hк= 32 и начальный уровень энергии
932 м.  Затем  происходил переход  в  пикирование под  углом 60o,
которое  продолжалось  до  момента  достижения  самолетом  высоты  650  м  с
неработающим двигателем. Благодаря  действию сопротивления воздуха,  которое
непрерывно возрастало,  падал и уровень энергии, так что, когда высота стала
равной 650  м, уровень энергии оказался равным 785  м и hк=135 м,
или  скорость  ~  185  км/час. При  этой  скорости  могла  бы  быть получена
максимальная перегрузка  nу=135/18,5=7,3.  Начинать  петлю  нужно
было достаточно осторожно.
     Дальнейший  расчет производился  то интервалам Dq=30o. Когда
самолет начинал выходить из пикирования, сопротивление настолько возрастало,
что,  несмотря на включение двигателя,  уровень энергии продолжал  падать, а
кинетическая высота  некоторое время оставалась почти  постоянной. Когда  же
самолет стал описывать  первую четверть петли,  величина hк стала
быстро  уменьшаться как  из-за  увеличения  h, так  и вследствие  уменьшения
hэ.  Только  после прохождения  вертикального  положения  падение
уровня  энергии прекратилось, но hк продолжало падать и  дошло до
значения  hк  =10,  когда  максимальная  перегрузка  могла  иметь
величину,  равную  лишь примерно 0,5. Таким образом, в верхней  точке  петли
летчика прижимало к сиденью с силой, равной 30-40%  от силы веса. Во  второй
части петли hк стало увеличиваться, но  не очень  сильно, так как
двигатель был опять выключен и уровень энергии стал понижаться.
     
     
     Рис.  10.  Схема  расчета  петли  Нестерова  для  самолета   "Ньюпор-4"
энергетическим методом
     По  графику,  приведенному  на  рис.   10,   можно  получить   значение
hк в любой  точке петли и затем найти скорость по выражению V=4,4
hк1/2.  Разделив интервалы  пути  на  средние значения
скорости, можно найти интервалы времени и затем определить время  совершения
петли.  От  начального  горизонтального участка до конечного  оно  оказалось
равным около 10 сек.
     На  рис.  11  дана  общая  схема   пикирования,  петли  и  последующего
спирального спуска с, креном около 30о. Сопоставив ее с известной
схемой, составленной самим П. Н. Нестеровым, мы можем увидеть весьма большое
сходство между ними.
     Pishnoff-56.gif
     Рис. 11.  Схема снижения, петли и  спирального спуска, полученная путем
расчета применительно к условиям выполнения первой петли П. Н. Нестеровым
     Высота петли оказалась равной 90 м, что соответствует диаметру виража с
очень  большим углом крена, из чего  и исходил П. Н.  Нестеров. Только форма
петли оказалась  не  окружностью,  а  фигурой,  которую можно получить, если
взять проволочное кольцо нужного диаметра  и, разрезав его  в  нижней точке,
сдвинуть  концы, как  бы затягивая  петлю.  Тогда  в  нижней части  кривизна
уменьшится, а в верхней увеличится.
     При совершении петли  основной  вопрос заключается  в правильном выборе
начальной   скорости.  Перед   началом  петли  самолет  должен  иметь  запас
кинетической  энергии, определяемый  высотой hк.нач. Высота петли
равна  утроенному-учетверенному значению  hк.н,  соответствующему
горизонтальному       полету        на       наивыгоднейшей        скорости,
Dh=D=(3,5-4,0)hк.н,       где      hк.н=0,      82G/(S
Cун).
     Кроме того, при выполнении петли происходит изменение уровня энергии от
действия тяги  и  лобового  сопротивления.  Это изменение  можно  определить
следующим образом. Длина пути полупетли будет равна
     
     Среднее значение перегрузки по пути петли nу~2,3; угол атаки
находится в районе максимального качества. Тогда снижение уровня энергии  за
полупетлю составит
     Pishnoff-57.gif
     Когда  самолет  окажется  в  верхней  части  петли,  должна  оставаться
некоторая  перегрузка -- не менее ny=0,3-0,4, для чего  необходим
запас   кинетической    энергии,    равный   hк.кон    ~(0,3-0,4)
hк.н. В итоге получим
     Pishnoff-58.gif
     Pishnoff-59.gif
     Этот  приближенный расчет  hк. нач очень близок  к тому, что
было  получено  при выполнении петли.  Чем больше  P/G,  т.  е.  чем  больше
тяговооруженность самолета, тем  легче  выполнять  петлю и тем  меньше может
быть начальная скорость.  Тяговооруженность самолета, на котором летал П. Н.
Нестеров,  была невысока, и  перед петлей  потребовался основательный разгон
путем пикирования.  Мы  можем только  удивляться тому,  насколько  правильно
задумал П.  Н. Нестеров выполнить петлю -- после  пикирования  около 300  м.
Будь разгон  более  слабым,  самолет завис бы в верхней части петли, и тогда
непривязанный летчик оказался бы в затруднительном положении.
     Может возникнуть вопрос,  была ли петля выполнена со снижением или нет?
Если рассматривать этот вопрос только в отношении высот начала и конца петли
при горизонтальной  касательной к траектории, то она могла бы быть выполнена
и без снижения при более резком выводе из пикирования. Из схемы, приведенной
на рис. 10,  видно,  что  в этом случае  (пунктирный конец  петли)  скорость
оказалась бы малой и налицо был бы риск сваливания в штопор. Петля считается
выполненной без снижения  в  том  случае, если после  выхода из одной  петли
самолет готов к выполнению следующей  не только по исходной высоте,  но и по
уровню энергии. Чтобы это было возможно, тяга  двигателя должна обеспечивать
длительный полет  с  перегрузкой не  менее 2,3.  П.  Н. Нестеров  располагал
длительной перегрузкой,  равной  лишь около 1,6.  Чтобы повторить петлю, ему
нужно было бы вновь разгонять самолет пикированием.




     Как  мы  уже  указывали,  самолет  "Ньюпор-4"   не  отличался  высокими
маневренными  качествами:  запас  мощности  у  него  был  небольшой,  органы
управления мало эффективные  и только запас прочности был достаточен. Автору
не  приходилось  встречать сведений о  том,  чтобы кто-нибудь, кроме  П.  Н.
Нестерова, выполнял на нем высший пилотаж.
     Французский  самолет  "Моран-Ж" появился в 1912 г.  и  быстро  завоевал
большую популярность -- вначале  благодаря ряду  перелетов,  совершенных  на
нем,  а  затем  как прочный и маневренный  самолет, легко выполнявший фигуры
высшего  пилотажа, и,  наконец,  как один из  первых  истребителей.  "Моран"
закупался во  Франции и строился затем в России как  тренировочный  самолет.
Его  можно  было встретить  в  авиационных  школах  до  1922-- 1923  гг.,  а
отдельные экземпляры и позже. Когда в 1918 г. в Московской авиационной школе
было  введено   обязательное  обучение   высшему   пилотажу,  то  для  этого
использовались  самолеты "Моран"; инструктором  по обучению  полетам на этих
самолетах был замечательный советский летчик Михаил Михайлович Громов.
     Летом 1914  г. в  Москве  на Ходынском  поле (впоследствии  Центральный
аэродром) петли  Нестерова демонстрировал летчик-испытатель завода "Дукс" А.
М. Габер-Влынский. Впоследствии на  воздушных  праздниках высший пилотаж  на
этом самолете демонстрировался  рядом  русских летчиков.  Самолет  "Моран-Ж"
привлек  внимание  П.  Н.  Нестерова   своим   запасом  мощности  и  хорошей
управляемостью. Освоив самолет,  П.  Н.  Нестеров в июле 1914 г. совершил на
нем  перелет  Москва--  Петербург за 5 часов. Высокая маневренность самолета
"Моран-Ж"  привела  П.  Н. Нестерова  к мысли  о  возможности сбить  самолет
противника, нанеся ему повреждение своим самолетом.
     Схема самолета "Моран-Ж" показана на рис. 12.  По конструктивной  схеме
он почти не отличается от самолета "Ньюпор-4", т. е. тоже представляет собой
расчалочный моноплан, однако, он несколько меньше и легче, чем "Ньюпор-4", а
двигатель  на  нем был установлен  более  мощный  --  "Гном", а затем  "Рон"
мощностью 80 л. с. По внешнему виду "Моран" выглядел  изящнее, чем "Ньюпор",
и преимущество в весе пустого самолета у него составляло 100 кГ, т. е. более
20%.
     Pishnoff-60.gif
     Рис. 12  Самолет "Моран-Ж"  (1913  г) с  ротативным  двигателем  "Гном"
мощностью 80 л. с. Площадь крыла с подфюзеляжной частью 15,5  м2,
вес пустого самолета около 350 кГ,  полетный вес с одним летчиком около  500
кГ.
     Приведенная  площадь вредного  сопротивления  F0  была равна
около 1,0 м, т. е. более чем в полтора раза меньше, чем у самолета "Ньюпор".
Причины этого аэродинамического преимущества заключались в  меньших размерах
площади  крыльев,  меньшей  общей  длине   тросовых  расчалок   крыльев   и,
безусловно,  в  более  аэродинамичной   форме  капота  двигателя.  Важнейшим
условием  уменьшения сопротивления воздуха является наличие  в носовой части
тела  гладких  выпуклых  поверхностей,  на  которых  развивается  пониженное
давление, в большей или меньшей степени компенсирующее повышенное давление в
районе центральной носовой части тела.
     У самолета "Моран"  капот двигателя был полукольцевой; впоследствии  на
самолетах  с  ротативными  двигателями  стали  применять  кольцевые  капоты,
благодаря которым величина  F0 была еще более  уменьшена.  Теория
кольцевых  капотов для двигателей с  звездообразным расположением  цилиндров
была разработана значительно позже -- в тридцатые годы. Уменьшение  величины
F0 при повышенной  мощности двигателя дало увеличение скорости до
130-135 км/час (вместо  110 км/час  у самолета "Ньюпор").  Если кинетическая
высота  hк=V2/2g у самолета "Ньюпор" составляла  около
48 м, то у самолета "Моран" она равнялась 70 м; это было важное преимущество
при выполнении фигур высшего пилотажа.
     Несмотря    на    меньшую    величину    F0,    максимальное
аэродинамическое качество самолета  "Моран" было равно  примерно 6,5, т.  е.
оно  было таким же, как  у  самолета "Ньюпор",  вследствие  меньшего размаха
крыльев.
     На рис.  13  даны  поляра  и  форма  профиля крыла  самолета "Моран-Ж".
Подобный профиль очень типичен для того  времени;  его относительная толщина
составляет  лишь около  5%, а носовая часть  довольно сильно  изогнута.  Это
приводит к довольно  значительному увеличению коэффициента сопротивления при
малых  углах  атаки,  что,  однако,  не  сказывается  на   основных   летных
характеристиках.
     На рис. 14 даны графики мощностей, потребных для горизонтального полета
при весе 500 кГ,  и графики полезных мощностей для высот от нуля до 4 км. По
пересечениям  кривых   мы  получаем  максимальные  скорости  горизонтального
полета, а по максимальной разности мощностей находим  вертикальные  скорости
на режиме взлета:
     Pishnoff-61.gif
     На рис. 15 приведены основные летные характеристики  самолета "Моран-Ж"
--   максимальная  и   минимальная   скорости,   скорость   Vнаб,
соответствующая максимальной вертикальной скорости, вертикальная скорость на
разных  высотах  и время подъема на высоту,  полученное путем  приближенного
интегрирования
     
     При скорости  полета  120  км/час  на высоте 1000  м потребная мощность
составляет 44 л. с., а мощность, развиваемая двигателем,  будет около 53  л.
с.  (см. рис.  14). При  удельном расходе  топлива, равном 0,26-0,28  кг  на
лошадиную силу  в час, и к. п. д. винта, равном 0,75, часовой расход топлива
будет равен около 16-17 кг/час.
     Pishnoff-62.gif
     
     Рис. 13 Поляра и профиль крыла самолета "Моран-Ж"
     При запасе топлива в 50  кг  время полета будет равно около 3  часов  и
дальность  полета  около  350 км.  Сравнивая  летные характеристики самолета
"Моран-Ж" с  характеристиками  самолета "Ньюпор-4",  мы  видим,  что самолет
"Моран-Ж" имеет значительные преимущества.
     Важнейшим   показателем  маневренных   возможностей  самолета  является
величина     максимальной     перегрузки,     обеспечиваемой     двигателем,
ny=Ymax/G,  равной  отношению  максимальной  подъемной
силы к весу. У самолета  "Ньюпор-4"  мы имели nу=1,65, у самолета
"Моран-Ж"   nу=2,0.   Впоследствии   у  маневренных  истребителей
величина nу стала достигать величины, равной 3,0, и даже 3,5.
     При вираже  на  скорости  30  м/сек на малой высоте и при  коэффициенте
перегрузки nу =1,9 мы получим радиус виража
     Pishnoff-64.gif
     и время совершения полного круга
     Pishnoff-65.gif
     Остановимся еще на некоторых особенностях самолета "Моран-Ж". Профессор
В. П. Ветчинкин  производил  определение  положения центра  тяжести для ряда
самолетов  того  времени, в  том числе  для  самолета "Моран-Ж".  Однако  он
интересовался только углом  выноса  шасси, т. е. наклоном линии, соединяющей
центр  тяжести  с  осью  колес, и не  отметил  координаты центра  тяжести по
отношению  к крылу. Их можно найти  по схеме самолета, но не особенно точно.
Произведя графическое построение, мы получили центровку 27-28%. Это необычно
передняя центровка для самолетов того времени. С  пассажиром  она составляла
около 30-31%.
     Pishnoff-66.gif
     Рис. 14. График мощностей для самолета "Моран-Ж"  при полетном весе 500
кГ.

     Горизонтальное оперение самолета состояло  из одного  руля высоты,  что
имело место и  у некоторых других  самолетов того  времени.  Однако  площадь
горизонтального   оперения   была   небольшой   и   составляла   около   1,6
м2. Положение фокуса самолета следует  оценить (по расчету) в 35%
от длины  хорды крыла, конечно, при  зажатом  руле. Таким  образом, самолет,
несомненно, был статически устойчив и, тем более, устойчив по перегрузке.
     Pishnoff-67.gif
     Рис. 15. Основные летные характеристики самолета "Моран-Ж" при полетном
весе 500 кГ
     Небольшой по площади руль высоты, имевший к тому же значительную осевую
компенсацию, давал совсем незначительные аэродинамические шарнирные моменты;
в сочетании с незначительным  трением  это приводило к необычайной  легкости
управления  рулем высоты и, несомненно, давало слабую зависимость усилия  от
перегрузки. В то же  время, боковое управление  перекашиванием крыльев  было
довольно   тяжелым.  Короткая  ручка  управления   заканчивалась   небольшой
"баранкой",   за   которую  держался   летчик.  Таким  образом,   получалась
дисгармония  в  управлении -- большие усилия  в  одном  направлении движения
ручки и очень малые в другом. Руль направления площадью в 0,5 м2,
тоже  с  осевой  компенсацией,  требовал  совсем  незначительных  усилий  на
педалях.
     У  самолета  "Моран-Ж" была еще  одна особенность  в  управлении.  Если
летчик небольшим усилием на педалях отклонял руль направления, создавая этим
скольжение, то на ручке возникало большое усилие, стремящееся отклонить ее в
сторону, обратную ходу педали, так  как косое обтекание  крыльев приводило к
тенденции  их перекашивания. У самолета  Моран "Парасоль"  эта особенность в
управлении   самолетом   проявлялась  столь   резко,   что,   отклонив  руль
направления, летчик не мог удержать ручку от ухода ее в сторону.
     Указанная   специфика   управления  требовала   достаточной  тренировки
летчика, вызывала трудности при  обучении, осложненные отсутствием  двойного
управления, но  при  надлежащем  освоении техники управления эта особенность
позволяла летчику  выполнять самые  разнообразные фигуры высшего пилотажа --
петли,  перевороты, падение листом,  штопор  и  др.  Прочность  самолета,  и
особенно  его  пилотажных вариантов,  была  высокой.  Случаи  поломки  этого
самолета в воздухе автору не известны.
     При  наличии  у   самолета   "Моран-Ж"   только   одного   руля  высоты
симметричного профиля, без неподвижной  части --  стабилизатора, самолет  не
мог летать с брошенной ручкой. Поскольку  на  крыло при отсутствии подъемной
силы действовал пикирующий момент, в  случае брошенной ручки  самолет должен
был перейти  в  пикирование с дальнейшим переходом в перевернутый полет. Как
известно, после тарана, который произошел на  высоте около 1000 м, до высоты
50 м П. Н. Нестеров  выполнял  спиральный спуск, но затем  самолет перешел в
пикирование  и  упал  в  перевернутом  положении.  Такое поведение  самолета
свидетельствует о том, что П. Н. Нестеров потерял  сознание и отпустил ручку
управления;  после  перехода  на  отрицательные  углы атаки  и отрицательное
значение  nу  он был  выброшен  из  самолета,  поскольку  не  был
привязан.
     Аэродинамическое  качество самолета с учетом сопротивления  винта  было
равно  примерно 5,7.  Однако практически самолет снижался довольно круто  по
следующей причине: чтобы вращение винта не  прекратилось при  спуске, летчик
старался  держать повышенную скорость, тем  самым отдаляя самолет от  режима
максимального  качества.  Так, при  скорости 100-110 км/час аэродинамическое
качество становилось  равным  4,5.  Поломки при  посадке  были  часты  --  в
основном,  погнутость оси колес. При повреждении шасси или при наличии сноса
в момент касания самолет становился на нос или даже переворачивался на спину
-- "капотировал".
     Нет сомнения в том, что П. Н. Нестеров в совершенстве овладел самолетом
"Моран-Ж", свободно и точно на нем маневрировал и  уверенно совершал посадки
на небольшие  полянки. Следует  напомнить,  что длина разбега самолета  была
равна 75-80 м и время разбега -- около  7 сек; длина пробега при посадке  --
80-90 м; взлетная  дистанция  до набора высоты,  равной 10-15  м, составляла
около    200   м;    угол    подъема   на    малых    высотах    --    около
8o-10o. При наличии профиля крыла с  большой кривизной
и   установочного   угла    крыла   по   отношению   к   фюзеляжу,   равного
5o-6o, линия нулевой подъемной силы составляла  с осью
фюзеляжа угол  10o-12o. При наборе высоты угол наклона
фюзеляжа оказывался меньше наклона траектории и создавалось впечатление, что
самолет  "вспухает",  т. е. поднимается  почти при горизонтальном  положении
фюзеляжа.  При  спуске,   наоборот,  наклон  фюзеляжа   был  больше  наклона
траектории,   создавая   иллюзию   более   крутого  спуска;   но   зато  это
обстоятельство улучшало обзор вперед.
     В 1918 г.  профессор В.  П. Ветчинкин в полете  на самолете  "Моран-Ж",
пилотируемом   известным   летчиком,   героем   Гражданской   войны  Ю.   А.
Братолюбовым, впервые  произвел измерения перегрузок при полете в "болтанку"
и при выполнении фигур высшего пилотажа. Эти исследования имели очень важное
значение для разработки требований к прочности самолетов.




     Перейдем теперь к вопросу, который весьма интересовал П. Н. Нестерова и
явился  объектом  его исследований и конструктивных  разработок.  Уже первое
знакомство  с самолетами  и средствами  управления  ими в  1910 г. заставило
Петра Николаевича  задуматься над  причинами  различия  полетов  самолетов и
птиц.  У  всех  птиц отсутствует вертикальное  оперение,  у самолета  оно не
только имеется, но и играет  важную роль в управлении  полетом. На самолетах
того времени повороты делали без крена или осторожно, с малым креном, боясь,
как бы не  произошло  скольжение  на  крыло, поскольку не было  значительной
поверхности, которая  этому  помешала  бы. Нужно  сказать, что скольжения на
крыло  действительно  случались,   хотя   причина  их   тогда  еще  не  была
установлена. Если  мы познакомимся с причинами аварий и  катастроф  в период
1910-- 1917 гг., то мы встретим не столько упоминаний о сваливаниях на крыло
и срывах в штопор, сколько о скольжениях на крыло.
     Присутствуя на аэродроме и прислушиваясь к разговорам летчиков в 1916--
1917  гг., автор не раз слышал, как они обменивались опытом и рассказывали о
случаях скольжения на крыло, а  на воздушном  празднике весной 1917 г. автор
был свидетелем катастрофы, когда самолет "Вуазен" с высоты 40-50 м скользнул
на крыло и в  положении  скольжения ударился боком о  землю.  Частые  случаи
скольжения  на крыло самолетов того времени  не были обследованы.  Это можно
объяснить тем, что в те времена знание свойств самолетов было недостаточным,
а затем интерес к вопросам скольжения отпал, так как более актуальными стали
вопросы борьбы со сваливанием на крыло и переходом в штопор.
     Несомненно, что склонность к устойчивому и неуправляемому скольжению на
крыло следует объяснять аэродинамическими особенностями некоторых самолетов.
Эти   особенности  заключаются  в  применении  тонких   профилей  крыла   со
значительной кривизной и в слабом развитии вертикального оперения.
     Если  сравнить  схему  современного  спортивного  легкого  самолета  со
схемами самолетов 1910-- 1914 гг., то  наиболее существенное  различие между
ними будет заключаться как раз в том, что современные самолеты имеют большую
толщину профиля крыла и относительно большую площадь вертикального оперения.
     Скольжение  на  крыло, которое  являлось  причиной  аварий,  не следует
смешивать  с  тем скольжением, которое легко вызывается  простым отклонением
руля направления. Если самолет сильно накренить, не меняя величины подъемной
силы, то  движение его будет  характеризоваться двумя  ускорениями  -- одно,
определяемое горизонтальной составляющей подъемной силы и дающее искривление
траектории  в  горизонтальной плоскости, и второе,  определяемое недостатком
вертикальной  составляющей подъемной  силы,  направленное вниз и  вызывающее
искривление  траектории  в  вертикальной  плоскости.  В   итоге  развивается
спиральное движение, и при отсутствии или недостаточности разворота самолета
в сторону крена получается скольжение, т. е.  косое  обтекание. Однако, если
бы  при  накренении была  увеличена подъемная  сила отклонением руля высоты,
кривизны траектории в вертикальной плоскости не было бы.  В итоге получается
правильный вираж без  скольжения. Для  П.  Н. Нестерова  динамика  виража  с
большим углом крена была ясна, и он, получив  возможность летать, стал смело
применять очень глубокие виражи.
     Обращаясь к  "аварийным" скольжениям, следует указать, что дело было не
в том, что оно возникало  при накренении без  увеличения подъемной силы, а в
том,  что, оказавшись  в скольжении,  летчик  чувствовал  невозможность  его
устранения.  Несмотря  на  отклонение  элеронов против  направления крена, а
может быть,  и отклонение руля направления тоже  в сторону, обратную  крену,
самолет сохранял свое  состояние  крена и  скольжения.  Конечно, летчик  мог
устранить скольжение, отклонив руль направления  в  сторону крена, но  тогда
самолет  был  бы переведен  в крутое снижение, чего нельзя было допустить на
малой высоте. Потеря  эффективности элеронов объяснялась выходом самолета на
критические  углы атаки. В  то же время, моменты  от  несимметричного  срыва
обтекания, вызывающие самовращение, были слабы. Впоследствии  при выполнении
виража с недостаточной скоростью (например, на самолетах Р-1) самолет, начав
скольжение  в  сторону крена,  подхваченный  моментами самовращения от срыва
обтекания  со  стороны крыла, обратной направлению скольжения, весьма быстро
выходил из крена и сваливался в штопор в противоположную сторону.
     Большинство летчиков раннего периода  развития авиации  и конструкторов
самолетов были спортсменами,  которые  имели  практику езды  на  автомобиле,
мотоцикле,  моторной  лодке.  С.  И.  Уточкин  прямо  указывал, что  езда на
мотоцикле  позволила   ему  быстро   овладеть  управлением  самолетом.   Для
спортсменов наличие руля  направления на самолете представлялось  совершенно
естественным.  Иным  был  путь  П.  Н.   Нестерова;  он  сразу  почувствовал
противоречие  между органами управления самолета и птицы.  Он  поставил себе
задачу применить иную схему управления хвостовым оперением. Он указывал, что
поворот  всего руля  или поворот  руля  как  части  хвостовой  поверхности с
переломом формы сечения нежелателен; более целесообразным является выгибание
поверхности. Принцип искривления крыльев он считал правильным, но только, по
его мнению, форма крыльев самолета должна была бы быть ближе к форме крыльев
птицы.   Наконец,   П.   Н.  Нестеров   интересовался   эффектом   изменения
установочного угла крыла по отношению к фюзеляжу, полагая, что с его помощью
можно расширить  диапазон  скоростей,  облегчить  взлет и посадку.  В  своем
проекте самолета,  который П. Н. Нестеров  представил  в  Главное Инженерное
Управление Военного  ведомства в 1912  г., он предусматривал указанные  выше
усовершенствования.
     Рассматривая схему самолета Нестерова, опубликованную в журнале  "Аэро"
в  1912  г., и,  особенно, более детальную схему,  приведенную в труде И. Ф.
Шипилова  "Выдающийся  русский летчик П. Н.  Нестеров" (Военное издательство
Министерства Обороны СССР, 1952),  мы  видим (рис. 16), что  она  напоминает
известную  в то время  схему самолета Этриха "Таубе", но  отличается от  нее
хвостовым оперением.
     Остановимся немного на истории  схемы самолета "Таубе".  "Таубе"  -- по
немецки  "голубь",  и  действительно,   схема  самолета  "Таубе"  (рис.  17)
напоминает, если не голубя, то, во всяком случае, какую-то птицу. Интересно,
что эта схема в действительности "происходит" не от птицы, а от планирующего
тропического  семени  "Цанония".  Это  семя  (рис.  18)  представляет  собой
летающее крылышко с оттянутыми и несколько отогнутыми вверх концами.
     Pishnoff-68.gif
     Рис. 16. Схема самолета, спроектированного П. Н. Нестеровым в 1912 г, с
оперением оригинального типа
     
     Рис. 17. Схема самолета Этриха "Таубе" (1911 г.)
     Pishnoff-70.gif
     Рис. 18. Схема планирующего семени "Цанония"
     Центр  тяжести его  расположен так, что  центровка получается передней.
Австрийские конструкторы  Этрих  и  Вельс сначала  просто воспроизводили это
семя в большом  масштабе, а затем  добавили к нему  хвост, похожий на  хвост
коршуна,  и получилась схема "Таубе". Один из самолетов Этриха "Таубе" был в
Петербурге в 1911 г.  и летчик  Лерхе  принял  участие  в  перелете  на этом
самолете  по  маршруту Петербург -- Москва. Впоследствии самолеты этой схемы
получили распространение  в  Австрии  и  Германии -- например, "Гота-таубе",
"Румплер-таубе"  и  др.  Были   и  бипланные   варианты  схемы  "Таубе".  Об
особенностях аэродинамических  свойств  схемы "Таубе", к  сожалению,  автору
ничего неизвестно. Аэродинамика их была  посредственной из-за наличия  у них
множества растяжек,  открытого  расположения  двигателя,  больших радиаторов
охлаждения  и  других  неукрытых  деталей.  Естественно,  скорость  их  была
невелика.
     Схема  "Таубе" применялась с 1910 по 1915 г.,  причем в  начале  первой
мировой войны  в  австро-германской  армии  таких самолетов  было  много,  и
наименование "Таубе"  стало нарицательным для  самолетов  противника России.
Однако самолеты  "Таубе" постигла та же судьба, что  и  монопланы "Ньюпор" и
"Моран".  Германия  и  Австрия  перешли  на  фюзеляжные  бипланы,  типичными
образцами которых были  "Шнейдер", "Альбатрос"  и "Даймлер",  подобный тому,
который  был сбит  П. Н. Нестеровым. Фюзеляжный биплан  начал развиваться  в
России;  Я. М. Гаккель  применил  эту  схему еще в 1908--  1909  гг., И.  И.
Сикорский разработал прекрасные образцы фюзеляжных бипланов в 1911-- 1912 г.
и применил ее на самолетах "Гранд" и "Илья Муромец".
     П.  Н. Нестеров принял  за основу своего самолета схему "Таубе" по ряду
соображений. Во-первых, у этого самолета органы управления не поворачиваются
на  шарнирах,  а  выгибаются.  Однако  вместо   раздельных  рулей  высоты  и
направления,  он  применил  одну  горизонтальную  поверхность,  которая  при
выгибании дает эффект не только руля высоты, но и руля направления. Для этой
цели  ось  отгиба расположена косо (см.  рис.  16, пунктирная  линия). Форма
крыльев самолета "Таубе" характерна не только оттянутыми назад концами, но и
их выгибом вверх. Благодаря этому в  полете  концевые части крыла оставались
ненагруженными  или  слабо  нагруженными, сохраняя  свою  эффективность  для
поперечного управления и при  больших углах  атаки.  Но было  здесь и другое
соображение.
     П. Н.  Нестеров хотел избавиться от вертикального оперения, которого не
имеют птицы.  Не нужно думать,  что у  самолетов вертикальное  оперение было
применено  только ради выполнения поворотов  без крена.  Первыми практически
применили выгибание крыльев для поперечного управления братья Райт. Применяя
это управление,  они обнаружили довольно неприятное явление -- при выгибании
концов крыльев  в разные стороны самолет  вращался вокруг продольной  оси  в
нужном  направлении и одновременно стремился повернуться вокруг вертикальной
оси в обратную сторону.
     Так,  если летчик  накренял  самолет вправо,  в процессе этого движения
самолет обнаруживал довольно сильное  стремление повернуться влево, что было
совсем нежелательно.  Для устранения  разворота летчик  должен  был  всегда,
одновременно  с выгибанием  крыльев,  действовать  и  рулем  направления,  а
последний   должен   был  быть   достаточно   мощным,   чтобы   преодолевать
разворачивающий  момент.  Это  свойство  заставило  братьев  Райт  применить
своеобразную систему управления. На их самолете было две ручки управления --
правая  и  левая;  ножные педали отсутствовали. Левая  ручка управляла рулем
высоты,  а  правая  при  движении в  стороны  -- выгибанием  крыльев,  а при
движении вперед  и  назад  -- рулем направления. Таким образом, одним  косым
движением правой  ручки можно было одновременно  создавать кренящий момент и
бороться с заворачивающим моментом.
     На   самолете   братьев   Райт  эффект   заворачивания  при  накренении
проявлялся, может быть,  сильнее, чем у других самолетов того времени, из-за
большого размаха крыльев, больших углов выгибания их концов и из-за  условий
полета   при   довольно  больших   углах   атаки.   Явление   нежелательного
заворачивания  при  вращении вокруг продольной оси  обнаружилось  и у других
самолетов  не  только  при  выгибании  концов крыльев,  но  и  при  действии
элеронами.   При   обучении   полетам  у   летчиков   вырабатывался  рефлекс
одновременного отклонения ручки и  ножных  педалей в  одну  и ту же  сторону
(например, при отклонении ручки вправо нажимают и на правую педаль).
     Объяснение  причины  возникновения  заворачивающего   момента  казалось
довольно простым: в той части крыла, где вследствие увеличения местного угла
атаки  или   отклонения  элерона  происходит   увеличение   подъемной  силы,
одновременно увеличивается и лобовое сопротивление; у противоположного конца
крыла вместе  с  уменьшением подъемной  силы  уменьшается  и  сопротивление.
Отсюда вытекало  соображение, что  если исходные углы атаки  на концах крыла
будут уменьшены (а, еще лучше, близки к нулю), то эффект заворачивания будет
ослаблен или даже уничтожен.
     В  двадцатые годы вопросу борьбы с  заворачивающим  моментом  уделялось
большое  внимание. Кроме  описанного  уже  уменьшения  нагруженности  концов
крыльев,   предлагались:   дифференциальное   отклонение   элеронов,   когда
поднимающийся элерон отклонялся на больший угол, чем опускающийся; плавающие
элероны, которые независимо от угла атаки крыла оставались на  нулевом  угле
атаки; специальные формы профиля элеронов, при которых при  поднятии элерона
происходил  местный  срыв  обтекания, благодаря  чему  возникало  повышенное
сопротивление.  Все  эти мероприятия  не  нашли  широкого  применения  и,  в
сущности,   были   оставлены.   Вопрос  борьбы  с   заворачиванием   решался
использованием  руля направления  и повышением путевой устойчивости. Размеры
вертикального   оперения  неуклонно  росли  из-за  необходимости  обеспечить
путевую  устойчивость,  уравновешивание  самолета  при  несимметричной  тяге
двигателей  и  вывод из штопора. К  этому нужно  прибавить, что  крейсерские
режимы  полета стали  соответствовать  меньшим углам атаки крыла  и  поэтому
эффект заворачивания не служил помехой при пилотировании.
     Нужно   напомнить,   что   поперечное   управление    самолетом   может
производиться не только элеронами и искривлением концов крыльев, но и  путем
использования  эффекта скольжения, вызываемого отклонением руля направления.
На  большинстве самолетов полет можно производить, не  пользуясь  поперечным
управлением,  а используя эффект  скольжения,  хотя  это  и имеет  известные
неудобства. Строились даже самолеты, совсем лишенные поперечного управления.
Подобный самолет конструкции А. Г. Фоккера был и во времена П. Н. Нестерова.
     Объяснение  причины возникновения заворачивающего  момента  различием в
сопротивлениях  было, в сущности,  неправильным.  Рассуждение  о  различии в
сопротивлениях могло относиться к начальному моменту, когда после отклонения
элеронов или  искривления  концов  крыла  самолет  еще  не приобрел скорости
накренения,  или  угловой скорости  относительно  продольной  оси  самолета.
Однако самолеты того времени очень быстро приходили во вращение с постоянной
угловой  скоростью и благодаря окружным местным скоростям  в сечениях  крыла
подъемные  силы  крыльев   выравнивались.  Для  определения  заворачивающего
момента  нужно было исходить  не из сил сопротивления, а из их составляющих,
параллельных продольной оси самолета.  В итоге, подъемные  силы  оказывались
равными и различие в силах сопротивления было незначительным. Самое основное
заключалось  в том, что направления действия подъемных сил в районе концевых
частей  крыла  были  различными.  У опускающегося конца крыла подъемная сила
наклонялась вперед, у поднимающегося -- назад. Взяв составляющие этих сил по
направлению продольной оси, мы и получим заворачивающий момент.
     Таким образом, причиной  возникновения заворачивающего момента являлось
органическое свойство крыла, связанное с наличием  подъемной силы и  угловой
скорости  вращения   вокруг  продольной  оси.  Заворачивающий  момент  прямо
пропорционален  окружной  скорости  концов  крыла  при  вращении  и  обратно
пропорционален  скорости  полета. Из этого  следует, что без отклонения руля
направления нельзя выполнять правильное накренение.
     Как  же управляют креном птицы? Проще всего этот вопрос решается в  том
случае,  если  птица  может  махнуть  крылом;  тогда  вместе  с  увеличением
подъемной  силы появится  момент,  действующий в сторону поворота,  а  не  в
обратную.  Парящие  птицы  обычно  совершают  полет с  распущенным  хвостом,
который создает  известную  подъемную  силу.  Они могут  поворачивать  хвост
вокруг  продольной оси, наклоняя тем самым подъемную силу  хвоста и создавая
эффект, аналогичный  отклонению вертикального оперения.  Однако  при парящем
полете чаек можно наблюдать, что  хвостовое оперение у них полностью сложено
и,  следовательно,  управление полетом  происходит исключительно  с  помощью
крыльев.  Продольное  управление  может  производиться  очень незначительным
перемещением крыльев  относительно  корпуса  -- вперед  и назад;  поперечное
управление  --  выгибанием  крыльев.  Что  касается  путевого  управления  и
преодоления заворачивающего  момента при выгибании крыльев птицами,  то этот
вопрос  в  полной мере  не  выяснен.  Разгадку можно  искать  в  своеобразии
выгибания крыльев.
     Рассмотрим теперь, как работает оперение, предложенное П. Н. Нестеровым
(рис.  16  и  19).  Для простоты  будем рассматривать вариант,  который  был
реализован П.  Н.  Нестеровым  на самолете "Ньюпор-4"  в  начале 1914  г.  и
который  был  им  испытан  в  полете.  Схема  этого   оперения  схематически
воспроизведена нами по фотографии и, конечно, неточна. Обе половины оперения
поворачиваются (или, вернее, выгибаются) относительно оси, составляющей угол
около  30о  с  поперечной  осью. Тогда  нагрузка, действующая  на
оперение  при  его  отклонении,  даст составляющие  силы  -- вертикальную  и
боковую. Если обе половины отклонены на равные углы, то боковые составляющие
взаимно  нейтрализуются;  если они  отклонены в  противоположные  стороны на
равные углы, то  направление  действия результирующей боковой  силы оперения
будет  зависеть от  его угла  атаки и эта сила будет равна нулю  при нулевом
угле   атаки.  Если  некоторые  птицы  в  планирующем   и   парящем  полетах
поворачивают  хвост вокруг продольной оси туловища, то в схеме, предложенной
П.  Н.  Нестеровым,  мы  получаем  подобный  же  геометрический  эффект  при
отклонении половин руля в разные стороны.
     
     Рис 19. Схема оперения,  установленного и испытанного  П. Н. Нестеровым
на самолете "Ньюпор-4" в 1913 г
     Мы не знаем, какое впечатление сложилось у П. Н. Нестерова в результате
полетов на самолете "Ньюпор-4"  с  предложенным им  оперением и  как он учел
этот опыт при  проектировании  своего нового  самолета.  В литературе 1910--
1913 гг. можно встретить  большое количество статей по вопросам устойчивости
и особенно относительно  мероприятий  по  борьбе  с  авариями. Высказывалось
много ошибочных и даже наивных соображений. Стремясь обеспечить устойчивость
самолета,  многие  авторы  изыскивали  средства  для  удержания  самолета  в
нормальном положении, базируясь на теории маятников или гироскопов.  Надежды
на теорию маятника были вообще ошибочны, и причина ошибки была разъяснена Н.
Е. Жуковским.  Однако и гироскоп  сам по себе не мог обеспечить стабильность
положения самолета в пространстве.
     Самолетом  можно  управлять   по   воле  пилота  или  по  командам   от
гироскопического автопилота только при соблюдении основных условий  динамики
полета  и, в первую  очередь, при наличии достаточной кинетической  энергии.
Этого многие не учитывали. А  между тем, еще  в  1891 г. Н. Е.  Жуковский  в
работе   "О   парении  птиц"  раскрыл  основы  динамики  полета  летательных
аппаратов. Идеи,  которые  выдвигал П. Н. Нестеров, в то время не только  не
были  "модными", но и противоречили широко  распространенным взглядам. Можно
сказать,  что  П.  Н.  Нестеров  являлся  ближайшим  наследником идей  Н. Е.
Жуковского. То,  что  Н. Е. Жуковский обосновал теоретически, П. Н. Нестеров
выполнил на практике, с полным пониманием основ динамики полета.
     С того времени многое разъяснилось и  переменилось. Забылись  ошибочные
толкования и  ложные теории.  Динамика  полета в  среде постоянной плотности
получила развитие применительно  к  движению  в  значительной области высот,
когда плотность воздуха меняется, а затем и применительно к условиям полета,
когда  направление действия силы тяжести  быстро меняется, т. е. к выходу на
круговые  околоземные, а затем  и  на  дальние космические  орбиты.  Вклад в
теорию и  практику полета,  сделанный П. Н. Нестеровым, весьма ценен сам  по
себе. Его жизнь и деятельность будет служить нам примером того, как, сочетая
знания,  вдумчивость  и  отвагу,  можно  за  очень  короткий  срок  получить
важнейшие результаты.

     2.  Первые   тяжелые
грузоподъемные самолеты



     Начало успешных полетов отдельных самолетов относится к 1907-- 1908 гг.
Первые международные  состязания самолетов  и первые  перелеты (в том числе,
перелет через пролив Ламанш) были осуществлены в 1909 г., и авиация вступила
в   стадию   широкого   распространения.  Это   характеризовалось   серийным
производством наиболее  удачных типов самолетов, появлением авиационных школ
--  заводских, клубных и военных, широкой  демонстрацией полетов  во  многих
городах   и  дальнейшим  развитием  спортивных  состязаний  по  установлению
рекордных достижений и перелетов по различным маршрутам.
     Первые  самолеты,  на  которых  обычно летали  сами конструкторы,  были
одноместными. К 1910 г. стала выявляться потребность в двухместных самолетах
для  "катания"  пассажиров, обучения летчиков и, конечно, для  использования
самолетов  в качестве военных разведчиков. Переход  на двухместные  самолеты
был  произведен очень  просто  --  позади  летчика  устанавливали  небольшой
стульчик, на  который  и  садился  пассажир,  примерно,  как  на  мотоцикле.
Естественно, что  не все  самолеты  смогли  возить повышенную  нагрузку,  но
некоторые  из  них оказались достаточно грузоподъемными. Затем  конструкторы
стали   изыскивать  способы  увеличения  грузоподъемности   самолетов  путем
применения более мощных двигателей и увеличения площади крыльев.
     Изучая историю развития  грузоподъемных самолетов, следует  рассмотреть
теоретические  изыскания и  практические мероприятия конструкторов.  Отдавая
должное теоретическим исследованиям, мы должны сказать, что в период  1910--
1920   гг.   они  не  были  эффективны  вследствие  недостаточного  развития
теоретической  аэродинамики  и  ограниченности  проводимых  экспериментов  с
моделями в аэродинамических трубах.
     В периодической  литературе того  времени  можно  было  встретить много
статей, в которых обсуждались различные проблемы самолетостроения и особенно
вопросы,  связанные  с  увеличением  скоростей   и  высот  полета,  а  также
грузоподъемности  и устойчивости  самолетов.  Наиболее интересные в  научном
отношении  работы  печатались  в  журналах:  русском  -- "Воздухоплаватель",
французском   "L'Aerophille"  и  немецком  --  "Z.  F.  М".  Создание  более
грузоподъемных самолетов было связано с увеличением их размеров и повышением
мощности двигателей.  Проблемы масштаба сооружений и машин  были уже изучены
более глубоко применительно к мостам, архитектурным сооружениями и кораблям.
Некоторые  соображения,  взятые  из  этих  областей, были  использованы  при
изучении проблемы создания грузоподъемных летательных аппаратов.
     В журнале "Воздухоплаватель" за 1911 г. была помещена статья известного
летчика  и  инженера Н. А. Яцука  "О максимальной  величине грузоподъемности
аэроплана". В этой статье Н. А. Яцук ссылается на работу Д. И. Менделеева "О
наивыгоднейших  размерах  и  предельной   величине  летающих  машин  тяжелее
воздуха", выполненную  еще  тогда, когда никакого опыта самолетостроения  не
было.  Д.  И.  Менделеев  рассматривал  задачу  об  изменении  характеристик
летательных  аппаратов  определенной  схемы  при  увеличении  геометрических
размеров аппарата в n раз.
     Развивая мысли Д.  И. Менделеева, Н. А. Яцук берет в качестве основного
условия  постоянство  соотношения мощности двигателя и площади крыльев,  что
для   подобных   форм  эквивалентно  постоянству   скорости   полета.  Тогда
развиваемая   подъемная   сила   будет  пропорциональна   площади,   т.   е.
n2;  вес  двигателя,   приходящийся  на   1   л.  с.,  принимался
постоянным,   и   тогда   вес  двигателей  Gдв   тоже  оказывался
пропорциональным   n2.   Что   же   касается   веса   конструкции
Gкон, то  она  принималась пропорциональной  кубу масштаба, т. е.
величине n3. Такое предположение справедливо  при условии полного
подобия конструкции и постоянства напряжений, вызываемых весом грузов, т. е.
двигателей, топлива и  полезной нагрузки. Поставив такое условие, Н. А. Яцук
оговаривается, однако, что оно может оказаться неправильным.
     Из  поставленных условий вытекает такое выражение для величины полезной
нагрузки:
     Pishnoff-72.gif
     Эта  формула  дает  быстрый  начальный  рост  Gпол  по  мере
увеличения  n,  а  затем,  после  достижения некоторого  максимума,  следует
быстрое  уменьшение  Gпол в  результате резкого  увеличения  веса
конструкции. Изобразив эту зависимость графически (рис. 1), мы можем видеть,
что изменение параметра С и показателя степени при весе конструкции m, будет
вызывать  очень значительное изменение  как  максимальной полезной нагрузки,
так   и  соответствующего  ей   масштаба   летательного   аппарата.  Понимая
недостоверность  знаний  об  истинных  значениях  величин  С  и   m,  авторы
исследований, естественно, бывали осторожны в своих выводах.
     На графике,  приведенном на рис.  1, были приняты различные зависимости
весов  конструкции  и двигателей  от масштабного  множителя  n.  В  качестве
исходных  при  n=1  были  приняты  значения  Gдв0/G   =  0,25   и
Gкон0/G=0,3;  тогда Gпол0/G =0,45. На  графике  по оси
ординат  показано относительное изменение полезной  нагрузки, т. е. величина
Gпол/Gпол  0.  Кривая  1   соответствует   росту  веса
двигателя по n2 и веса конструкции по n3.
     Pishnoff-74.gif
     Рис. 1. Относительное изменение грузоподъемности самолета при изменении
его размеров  для разных  законов зависимости веса конструкции  от  размеров
самолета.
     В этом случае  максимальная полезная  нагрузка  будет при n=1,67, а при
n=2,5  полезная   нагрузка   становится  равной  нулю   вследствие   резкого
возрастания веса конструкции.
     Кривая 2 относится к  случаю,  когда вес конструкции пропорционален n в
степени  8/3, т.  е.  немного  ниже кубичной. Как видно,  полезная  нагрузка
самолета в этом случае значительно возросла и имеет максимум при n=2,5.
     Кривая  3  была построена  при весе  конструкции,  пропорциональном n в
степени 5/2, и это дало увеличение полезной нагрузки в 5,5 раза по сравнению
с исходным значением.
     Наконец, кривая  4 построена при условии, что вес конструкции  меняется
тоже  пропорционально n5/2, но,  кроме  того, с  ростом  n  запас
мощности понижается так, что вес двигателей будет пропорционален n в степени
5/3.  В  этом  случае максимальная  полезная  нагрузка оказалась увеличенной
более чем в  10  раз по сравнению  с исходной  при  n=1.  Вес самолета будет
увеличен в (5,5)2,  т. е. в 30 раз; относительные параметры будут
такими:            Gдв/G=0,14;             Gкон/G=0,7;
Gпол/G=0,16.
     В последнем случае, хотя и был достигнут максимум полезной нагрузки, но
самолет оказался  очень  неэкономичным из-за  относительной малости полезной
нагрузки.  Мы  привели  рис. 1, чтобы  показать,  какой  эффект  может  дать
изменение показателей степени.
     В той же работе Н. А. Яцук проводит исследование  для случая увеличения
грузоподъемности самолета  при  сохранении  его размеров, но при  увеличении
скорости в m раз. В этой задаче он ссылается на французского ученого А. Сее,
который опубликовал свою работу  в  журнале "L'Aerophille" от 15 января 1910
г.  Александр  Сее был выдающимся ученым того времени,  работавшим в области
летательных  аппаратов.  Им  было  опубликовано  много  интересных  работ  в
журналах "L'Aerophille"  и "La  Technique  Aeronautique", и они, несомненно,
оказали важное влияние на развитие авиационных наук.
     Задача   о   зависимости  грузоподъемности  от  скорости  формально  не
отличается  от рассмотренной выше, но только по кубичному закону меняется не
вес конструкции, а вес двигателей, так как с ростом скорости мощность должна
меняться  по  кубу скорости, а  вес двигателей  принимается пропорциональным
мощности в  первой степени. Можно было бы указать, что это тоже очень грубый
расчет, так как с ростом  мощности, т. е.  при увеличении размеров или числа
двигателей,   аэродинамическое  подобие  не  соблюдается  и  при  увеличении
скорости  как мощность,  так  и  вес  двигателей  будут  увеличиваться более
сильно, чем по кубичной степени.
     Если исходить из постоянства  значений  G/N и G/S  и  принять G/N=10  и
G/S=15-30,  то мы  получим  такие  выражения  для полетного веса  и  площади
крыльев:
     Pishnoff-75.gif
     Так, при  N = 50  л. с. вес самолета будет равен ~500 кГ и площадь  его
крыльев  S --  от  16  до 32  м2.  Эти значения довольно близки к
характеристикам многих самолетов 1910-- 1912 гг.
     Исследуя условия полета, аэродинамики пришли к выводу, что  постоянство
параметров G/S и G/N  не  является необходимым.  Из выражения для  мощности,
потребной  для  полета  на подобных режимах  при  подобных  аэродинамических
формах, следует, что необходимо иметь постоянство величины
     
     Впоследствии эта величина именовалась числом Эверлинга, характеризующим
аэродинамическое  совершенство  самолета.  Это  вытекает  из  преобразований
формулы для величины мощности, потребной для горизонтального полета, равной:
     Pishnoff-77.gif
     где  К  --  аэродинамическое  качество  и h  --  коэффициент  полезного
действия винта.
     Подставляя выражение для скорости, получим
     Pishnoff-78.gif
     Для некоторого  самолета периода 1911  -- 1912  гг. G/S  =  25, G/N=10;
тогда
     
     Здесь мощность взята полная, а не потребная для горизонтального полета,
т.  е.  с  запасом.  Поскольку  запас  мощности  примерно  двухкратный,  для
максимальной подъемной силы получим
     
     Напоминаем, что данная  величина  характеризует аэродинамику  самолетов
указанных лет. Определяя полетный вес, получим следующие формулы:
     
     Эти выражения наглядно показывают, как влияет на полетный вес изменение
мощности двигателей и  площади крыльев. Однако интерес представляет полезная
грузоподъемность, т. е. разность полетного  веса и суммы весов конструкции и
двигателей.
     В общем случае полетный вес самолета можно представить формулой
     Pishnoff-82.gif
     Отношение  Nmax/N   характеризует  запас  мощности,  который
самолет  должен  иметь при полете на малой высоте.  Этот запас  выбирается в
зависимости от назначения самолета  и желаемой высоты потолка. Как  минимум,
запас мощности бывает около 2; средний запас мощности  равен примерно 3, а у
маневренных самолетов его доводят до 5-6.
     У   самолета   определенной  аэродинамической   схемы   при   некотором
наивыгоднейшем   угле    атаки   aн   аэродинамическое   качество
максимально,  а максимум величины  Cу/Cх2/3
соответствует  экономическому  углу атаки aэ,  который примерно в
1,5-1,7  раза  больше наивыгоднейшего.  Хорошо  известно,  как  сильно  было
повышено  аэродинамическое  качество  самолетов  в  процессе   их  развития.
Аналогичным           образом          возросла          и          величина
Cу/Cх2/3.  Аэродинамический  фактор  явился
очень эффективным средством увеличения грузоподъемности самолетов.
     В 1921 г.  была  опубликована  работа научного  сотрудника Центрального
Аэрогидродинамического   Института,  инженера-летчика,   В.   Л.   Моисеенко
"Предельные размеры самолетов" (Отдел  военной литературы при  РВСР, Научная
редакция  воздушного флота).  В  первой части работы В.  Л.  Моисеенко почти
повторяет  расчеты  Н.  А. Яцука, но за  основной  параметр он  принимает не
отвлеченный фактор масштаба, а мощность двигателей N.
     Для веса  конструкции была  принята  зависимость от  мощности в степени
3/2, что равноценно кубичной степени по фактору масштаба п.  В. Л. Моисеенко
не  ищет  оптимальный  по  грузоподъемности  самолет,  а   просто  проверяет
конкретные самолеты с точки зрения целесообразности увеличения их размеров и
мощности  двигателей.  В  этой части  работы  В.  Л.  Моисеенко  в  сущности
показывает, что  практически созданные самолеты  имеют параметры, близкие  к
оптимальным. Как исключение, приводится самолет  "Илья Муромец", который, по
выводам В. Л. Моисеенко, чрезмерно велик.
     Во второй части  своей работы  В. Л. Моисеенко рассматривает вопрос  об
оптимальных  размерах самолета  в более  широком плане,  используя для  веса
конструкции формулу инженера-механика (впоследствии академика) Б. Н. Юрьева.
     Мы привели работу В.  Л. Моисеенко потому, что она отражает взгляды, на
возможность создания грузоподъемных самолетов в те годы, когда уже  был опыт
строительства  самолетов  "Илья Муромец"  и  других  самолетов, созданных  в
период первой мировой войны, но еще не получила развития теория индуктивного
сопротивления Прандтля, которая изменила взгляды  теоретиков и практиков  на
условия получения большой подъемной силы.
     Посмотрим, как  решали  проблему  повышения грузоподъемности  самолетов
конструкторы-практики. На многочисленных авиационных состязаниях и конкурсах
самолетов  значительное место  уделялось достижениям по грузоподъемности,  и
конструкторы, естественно,  задумывались  над  тем, какими  мероприятиями ее
можно повысить. Простота конструкции  самолетов того  времени, примитивность
применяемых  расчетов,  отсутствие  каких-либо  испытаний  на   прочность  и
упрощенная проверка центровки позволяли быстро строить новые самолеты. Очень
распространены были и модификации  уже  готовых самолетов,  полученные путем
перестройки отдельных их частей. Преуспевающие фирмы создавали по 2-- 3 типа
и более самолетов в год.
     В период  1910--  1920 гг. конструкторы  самолетов руководствовались  в
своей   работе   некоторыми    теоретическими   соображениями,   но   больше
экспериментировали  интуитивно,  стараясь  улучшить  свои  самолеты.  Многие
эксперименты оказывались неудачными, но некоторые из них дали  положительный
эффект.  Объяснить  причину  удачи  или  неудачи  не   всегда  могли,  хотя,
естественно, пытались это сделать.  Подражательство у конструкторов было так
сильно  развито,  что трудно установить,  кто первый применил  то  или  иное
удачное нововведение.
     Как мы  уже указывали, увеличение  площади крыльев  позволяет увеличить
подъемную силу,  хотя и  в слабой степени. В формулу для G площадь  S входит
под кубичным корнем. Однако конструкторы-практики  обратили  внимание на то,
что увеличение размаха дает значительно лучший эффект, чем увеличение ширины
крыла. Это можно наглядно видеть по развитию самолетов фирмы "Фарман".
     Так, если самолет "Фарман-4" имел размах крыльев 10,5 м, то затем фирма
стала наращивать размах верхнего крыла  и постепенно перешла к схеме биплана
с  размахом верхнего крыла, значительно большим, чем размах нижнего. Самолет
"Фарман-16" (1912 г.) имел размах крыльев 13,8 м, а "Фарман-22" (1913 г.) --
15,6  м.  Самолеты  "Фарман-16" и  "Фарман-22"  были совершенно  подобны,  с
одинаковыми гондолами экипажа, одинаковой шириной  крыльев, но только размах
верхнего крыла у самолета "Фарман-22" был увеличен. Оба самолета применялись
в  России, и автор  помнит  высказывания  летчиков  о том,  что  "Фарман-22"
планирует  значительно лучше, чем "Фарман-16".  Это говорило о более высоком
аэродинамическом    качестве    первого     самолета.    Соответственно    и
грузоподъемность  его была  выше, хотя этому  способствовал и  более  мощный
двигатель.
     К  конструкторам,  которые  осознали  выгоду большого размаха  крыльев,
нужно отнести  прежде всего  И.  И. Сикорского.  Если в 1910  г.  он  строил
самолеты с размахом  крыльев 10 м,  то  самолет С-10 (1912 г.),  который  на
конкурсе военных самолетов показал  наибольшую грузоподъемность, имел размах
крыльев около 16 м. Важно отметить, что как у  самолетов "Фарман",  так и  у
самолетов И. И. Сикорского, несмотря на  увеличение  размаха, ширина крыльев
не увеличивалась.
     Однако самый решительный шаг в  сторону увеличения размаха крыльев  был
сделан И. И. Сикорским в 1913 г., когда он построил сначала самолет "Русский
Витязь" ("Гранд") с размахом крыльев  27 м, а затем самолет "Илья Муромец" с
размахом 34 м (по  некоторым сведениям -- 37 м). И. И. Сикорский как инженер
хорошо  понимал,  что увеличение  размаха в  2-- 2,5  раза  по  сравнению  с
размахом, типичным для самолетов того времени, поведет к большому утяжелению
конструкции и что увеличение площади крыла  путем его уширения не вызвало бы
такого утяжеления. Однако он выбрал путь увеличения размаха.
     Некоторые зарубежные  конструкторы того времени -- П. Шмидт, Р. Кодрон,
Л. Бреге  --  доводили размах крыльев до  17-- 17,5  м,  но это несравнимо с
размахом  крыльев  самолетов  И. И.  Сикорского.  Автор  не  помнит, чтобы в
каких-либо   теоретических   работах   того  времени  рекомендовалось  столь
значительное увеличение размаха. Мы уже указали, что В. Л.  Моисеенко в 1921
г.  сомневался  в выгодности  большого  размаха.  Подробный аэродинамический
анализ самолетов "Русский Витязь" и "Илья Муромец" мы приведем далее.
     Параметры самолета  "Илья  Муромец"  были  выбраны,  несомненно,  очень
удачно, и его  конструкция была технически последовательна  для условий того
времени. Если самолет "Русский Витязь" был довольно несуразен, а фюзеляж его
тонок, длинен и недостаточно жесткий, то все его недостатки были устранены в
конструкции  самолета  "Илья  Муромец".  Будучи  построен  в конце  1913 г.,
самолет "Илья Муромец" был быстро освоен в эксплуатации и пилотировании даже
в довольно сложных условиях. Это уже была не "этажерка" и не "стрекоза", как
именовались  некоторые  самолеты  того  времени,  а действительно  воздушный
корабль, поднимающий 1,5-- 2 тонны груза и способный к длительным полетам.
     Всего было построено 73 экземпляра самолетов "Илья Муромец" и последние
экземпляры  этих самолетов летали  еще в 1921--  1922 гг., т. е.  как тип он
прожил  почти 10 лет --  для  того периода  этот  срок значительный. Десятки
самолетов  "Илья  Муромец" принимали  участие в  боевых  действиях  в первой
мировой  войне и,  несмотря на то,  что они  привлекали внимание  германской
зенитной  артиллерии и  истребительной авиации, только один самолет был сбит
на  фронте. Это  определялось его  высокой живучестью  и  наличием  круговой
пулеметной обороны.  Хотя поломок и аварий на этих самолетах было много,  но
катастроф относительно мало.
     При той  широкой  системе  подражательства и  копирования  конструкций,
которая  имела  место  в период первой  мировой  войны, за рубежом самолеты,
подобные самолету  "Илья Муромец", были  созданы только через 4-5 лет, после
наступления некоторого промежуточного этапа двухмоторных конструкций, и, тем
не менее, зарубежные варианты не были успешными.
     Так, например,  германские самолеты Цеппелин  "Штакен", хотя и были  по
размаху  даже больше, чем "Илья  Муромец", и имели  более  мощные двигатели,
однако,  относительный  вес  конструкции  у  них  был  очень  велик  и  сама
конструкция слишком сложна.
     К  1918--   1920   гг.   относится   увлечение   трехпланными  и   даже
четырехпланными  конструкциями.  Примером огромного триплана  может  служить
самолет Tarrant "Tabor", построенный в Англии в 1919 г. Он имел 6 двигателей
по 500  л. с.  каждый,  размах по  среднему  крылу составлял  40  м,  высота
самолета около  11 м (у  самолета  "Илья Муромец" высота была только 4,5 м),
двигатели были разнесены не только по  размаху, но  и по  высоте, причем ось
винта верхнего двигателя была  на высоте  около  8  м  над  землей.  Самолет
разбился при первой  же  попытке взлета,  еще не оторвавшись  от земли, -- в
результате резкого подъема хвоста он уткнулся носом в землю.
     Еще более странно выглядел самолет Капрони СА-60 "Капрониссимо". У него
были три  трипланных  крыла,  поставленных одно  за другим,  размах  крыльев
составлял около 28 м, самолет имел  восемь двигателей по  400 л.  с. каждый.
Самолет был построен в 1921  г.  и  тоже  разбился при первом взлете. Теория
индуктивного сопротивления показала, что расположение несущих систем одна за
другой  является совершенно нецелесообразным, и самолет  "Капрониссимо" лишь
демонстрирует, по какому ошибочному  пути  может идти  создание летательного
аппарата при отсутствии теории или благоприятного эксперимента с моделями.
     Был и  у нас  неудачный эксперимент  с  трипланом.  В  1920--  1921 гг.
специальное конструкторское бюро под названием "Комиссия по тяжелой авиации"
(КОМТА), в состав которого входили  виднейшие специалисты  по аэродинамике и
самолетостроению,  разработало  и построило самолет "КОМТА",  который должен
был  заменить  самолет  "Илья  Муромец".  Обладая  почти  такой же мощностью
двигателей, как  и  самолет  "Илья Муромец", самолет  "КОМТА"  был сделан по
трипланной схеме и имел размах крыльев всего 16 м, т. е. вдвое меньше, чем у
самолета  "Илья  Муромец".  Самолет долго испытывался и даже без нагрузки  с
трудом отрывался.  После ряда доводок он, кажется в  1922  г., совершил один
полет  по кругу, но к этому времени  было  уже  ясно, что параметры самолета
выбраны неправильно и поверочный расчет с использованием теории индуктивного
сопротивления показал, что запас  мощности у него даже  без  нагрузки  очень
мал.
     Неудача  постигла  и самолет  В.  А. Слесарева  "Святогор" (1915-- 1916
гг.); казалось бы, конструктивно он был продуман  более тщательно, чем "Илья
Муромец",  шасси  он  имел  более высокое  и  более  красивое,  но,  видимо,
значительно более тяжелое. Основная причина неудачи заключалась в применении
центрального  расположения двигателей  (в фюзеляже) с  передачей мощности на
разнесенные винты.  Такая передача давала большую  потерю мощности и в итоге
запас мощности у самолета оказался недостаточным.
     Следует сказать, что разнесение  двигателей по  крылу, как  это впервые
было  сделано  на  самолете  "Русский  Витязь", является  важным фактором  в
снижении веса конструкции у самолетов с большим размахом крыльев.
     Центральные  силовые  установки с  расположением двигателей  в фюзеляже
казались выгодными аэродинамически.  При  малой надежности  двигателей  того
времени  привлекала  возможность  их ремонта  в  полете; наконец, с  помощью
системы передачи  можно  было  легче  придать  винту  оптимальную  для  него
скорость вращения.  Хотя самолетов с расположением двигателей в фюзеляже и с
передачей  мощности   на   разнесенные  винты  строилось   немало,  широкого
распространения они не получили.

     АНАЛИЗ   ГРУЗОПОДЪЕМНОСТИ
САМОЛЕТОВ

     На  этом  мы закончим обзор теоретических исследований  и  практических
конструкций  грузоподъемных самолетов  в период  до 1921-- 1922  гг.,  когда
произошел  перелом в понимании условий достижения  большой грузоподъемности.
Этот перелом был вызван развитием общей теории динамического полета и связан
прежде всего  с  именами ученых -- Н.  Е. Жуковского  и  Л. Прандтля. Всякое
научное  достижение,  открытие  и крупное  изобретение имеет историю  своего
развития -- от  первичных догадок,  через наблюдения,  опыты,  теоретические
построения,  частные  решения,  к  полному  осознанию физической сущности и,
наконец, к итоговой теории, устанавливающей количественные зависимости.
     Так было и с теорий крыла. Принципы образования тяги и подъемной силы в
воздушной  среде   в  механическом   отношении  аналогичны.  Принцип  работы
воздушных движителей,  т. е. устройств для  создания силы тяги,  был  открыт
значительно раньше,  чем  принцип работы крыла. Это можно объяснить тем, что
теоретически это было проще, но  главное заключается  в  том, что воздушному
винту  предшествовал водяной  винт  и  другие  водяные движители.  Из  основ
механики следует:  чтобы в жидкой или газовой  среде  при  помощи некоторого
устройства  получить  силу   тяги,  окружающей  среде   необходимо  сообщать
секундное  количество движения,  равное  желаемой  силе  тяги. Иначе говоря,
импульс  силы тяги  должен быть равен,  но противоположен по знаку импульсу,
сообщенному  массам окружающей среды. Все это было изложено, в  частности, в
теории идеального пропеллера,  которая была разработана английским ученым У.
Фрудом в 1888 г.
     При использовании  теории идеального пропеллера  для величины силы тяги
при отсутствии осевой скорости было получено такое выражение:
     
     где
     Pishnoff-86.gif--
ометаемая лопастями площадь;
     Nдв -- мощность двигателя;
     h0   --   относительный   коэффициент  полезного   действия,
характеризующий побочные потери пропеллера,  т. е. сопротивление лопастей  и
дополнительные скорости потока;
     r/r0      --      относительная      плотность      воздуха;
Kv=10,3(h0)2/3.
     Эта формула послужила выражением для подъемной силы вертолета на режиме
висения, т. е. при отсутствии поступательной скорости.
     Принцип создания подъемной силы крылом  должен  быть вполне  аналогичен
принципу создания тяги лопастями винта. Можно было утверждать, что за крылом
воздушный  поток  должен иметь некоторую  вертикальную составляющую скорости
движения, направленную против подъемной силы, т. е. вниз.
     Основой теории крыла  явилась работа Н. Е. Жуковского "О присоединенных
вихрях" (1906 г.).  В этой работе было сделано важнейшее открытие, а именно,
что   основной  эффект   крыла   состоит  в  сообщении   набегающему  потоку
циркуляционного движения, как если бы крыло было заменено вихрем с некоторой
циркуляцией скорости J. Тогда  величина  подъемной  силы Y  будет простейшим
образом связана  с  величиной J, скоростью полета V, плотностью воздуха  r и
размахом крыла l: Y=rJVl.
     Если крыло имеет  определенный размах, то с  его концов должны  сбегать
свободные вихри.  Н. Е. Жуковский убедился в справедливости  этого, поставив
специальный эксперимент в аэродинамической трубе.
     Свободные вихри, которые сбегают с концов крыла и тянутся за ним, очень
медленно затухая,  являются итогом  воздействия  крыла на  воздушную  среду.
Исходя из этих  вихрей, мы можем  восстановить картину  воздушных течений  и
определить секундный импульс, сообщаемый крылом воздушной среде.
     Схема расчета  величины подъемной силы, развиваемой крылом с размахом l
и при мощности двигателя Nдв, уже была приведена в статье "На чем
летал П. Н. Нестеров" и была получена следующая формула:
     
     В случае биплана  или триплана вместо размаха  l в  формулу вставляется
эффективный размах lэ:
     Pishnoff-83.gif
     Здесь h  --  высота  коробки  крыльев; у бипланов  h/l  имеет  значение
0,l-0,2;  у  трипланов --  0,2-0,3. У  бипланов разнесение крыльев по высоте
эквивалентно увеличению размаха на 6-8%, у трипланов  -- на 15-20%.  Триплан
"КОМТА"  имел размах крыльев  16  м,  а эффективный размах у  него был равен
около 19 м.
     Величину F0 можно найти по известной  максимальной скорости,
используя выражение для расходования мощности:
     Pishnoff-88.gif
     Коэффициент  полезного действия  винта принимаем  ориентировочно равным
0,75-0,80; плотность  воздуха  и  мощность  двигателя должны  быть  взяты  в
соответствии с высотой, для которой взята максимальная скорость. Лучше брать
условия полета на  малой высоте, когда мощность  нам известна точнее, а доля
индуктивного сопротивления меньше.
     Если   в   формулу  для   подъемной  силы  подставить   выражение   для
аэродинамического качества
     Pishnoff-89.gif
     то мы получим:
     Pishnoff-90.gif
     Интересно, что эта формула вполне  аналогична  формуле  для статической
тяги винта, но  только  вместо диаметра винта в нее входит размах крыльев  и
значение Ку здесь значительно больше. Теперь мы можем сопоставить
все  три  формулы  для  подъемной  силы, как  они  складывались исторически.
Запишем их так:
     Pishnoff-92.gif
     Если взять для примера N=100  л. с.,  S=30 м2  и l=12 м, все
три  формулы дадут  примерно одинаковый результат: Y~1400 кГ. Однако  третья
формула  дает  наибольшие   возможности  для   анализа,   так  как  значение
Ку                мы               можем                раскрыть:
Ку=8,6K1/3h2/3. Значения A и В мы  взяли по
статистике для того времени,  и при значительном изменении форм и параметров
самолета принятые значения A и В не будут пригодны.
     Если взять  современный  самолет с турбовинтовыми двигателями мощностью
10000 л. с., с размахом l=30 м и площадью крыльев S=100 м2, то по
первой формуле мы получили бы  подъемную силу Y1=140 Т, по второй
Y2=47 T  и  по третьей  для  аэродинамического  качества  K=16  и
Ky=18  Y3=80 T. Как  видно, первые два выражения  дали
ошибочные результаты.
     Третья формула  ценна  не  только  тем,  что она  дает наиболее  точные
результаты, но  и  тем, что  она последовательно раскрывает  роль  различных
параметров, особенно, если ее представить в таком варианте:
     Pishnoff-93.gif
     Однако  практически  при  увеличении  размаха крыльев  увеличивается  и
F0, и поэтому удобнее пользоваться следующим вариантом формулы:
     Pishnoff-94.gif
     Произведем расчет подъемной  силы самолета "Илья Муромец": N=600 л. с.;
h=0,75;  l=32  м.  Для  определения   величины  F0  воспользуемся
сведениями  о том,  что при весе 5200 кГ на малой  высоте  самолет  развивал
максимальную   скорость  Vmax=100-105  км/час,  или   29   м/сек.
Используя   приведенную   выше   формулу  для  мощности,   затрачиваемой  на
горизонтальный полет, получим:
     Pishnoff-95.gif
     F0=14,5 м2
     При  площади  крыльев, равной  145  м2, это даст коэффициент
вредного   сопротивления    Cх0=1,28F0/S=0,128.   Если
сравнивать с параметрами современных самолетов, то это огромная величина.
     Поскольку у самолета "Илья Муромец" применялся винт фиксированного шага
(винтов  с  изменяемым в  полете шагом тогда еще не было),  то  при полете с
максимальной  подъемной  силой число  оборотов винта понижалось, а вместе  с
этим уменьшались в  некоторой  степени  мощность  двигателей  и  коэффициент
полезного  действия  винтов.  Это  приводило  к  уменьшению  подъемной  силы
примерно на 6-8%. Аэродинамическое качество самолета будет
     Pishnoff-97.gif
     Затем                                                           находим
Ку=0,93•8,6•6,61/3•0,752/3=12  и,  наконец,
величина       максимальной       подъемной      силы      будет       равна
Y=12(Nдвl)2/3=8650 кГ.
     Самолет  должен обладать избытком  подъемной силы для  маневрирования и
подъема. Только на  потолке  подъемная  сила при работе двигателей на полной
мощности будет равна полетному весу,  а маневрирование потребует  уменьшения
высоты.  Соотношение   Y/G=ny=1,65;  эта  величина  ny
невелика, но она обеспечивает надежный полет и высоту потолка около 3000 м.
     В 1916 г. И. И. Сикорским был построен вариант самолета "Илья Муромец D
bis",  или, как его называли, "Дим". При  мощности  двигателей 440 л. с. и с
уменьшенным до 26 м  размахом на нем была получена подъемная сила около 6000
кГ, или на 30% меньше, чем  у основного варианта  самолета. По свидетельству
инж. В. Моисеенко, "Дим" был забракован по причине малой грузоподъемности.
     Перейдем теперь к более детальному рассмотрению характеристик и свойств
самолета "Русский Витязь" и "Илья Муромец".




     Самолет "Русский Витязь" был построен  в одном экземпляре, но претерпел
несколько  видоизменений. Хотя он не получил  распространения, но был первым
самолетом с очень большим размахом крыльев и послужил предшественником серии
самолетов  типа "Илья Муромец". Самолет "Русский Витязь" имел размах крыльев
27 м, что в 2,5-3 раза больше, чем у самых крупных.
     Самолет был спроектирован в 1912 г. и закончен постройкой в начале 1913
г. Несмотря  на смелость  и новизну конструктивного решения,  новый самолет,
которому   было    присвоено   первоначально    наименование    "Гранд-РБВЗ"
(Русско-балтийский вагонный  завод),  уже  в марте  1913  г.  стал совершать
полеты.  На нем первоначально были установлены два двигателя по 100 л. с. Из
выполненных нами расчетов следует, что самолет должен был иметь максимальную
подъемную силу около 3800 кГ, а пустой  вес его  оказался равным около  3000
кГ.  Отсюда  ясно,  что  запас  подъемной  силы был  недостаточен  и  это  с
очевидностью  показало  испытание самолета. Тогда  были установлены  еще два
двигателя  по 100  л. с.,  которые вместе с  первоначальными  образовали две
тандемные установки.  Иными словами, двигатели  стояли друг за другом, но  у
одного  двигателя  винт был тянущий,  т. е.  установлен  перед  крылом,  а у
другого  -- толкающий, т. е.  установлен за крылом. Тандемная установка была
применена  здесь  впервые в  самолетостроении и впоследствии довольно  часто
применялась  на  многодвигательных  самолетах. Однако  затем И. И. Сикорский
отказался от этой схемы и расположил все четыре двигателя с тянущими винтами
на крыле (рис. 2).
     Этот вариант и стал называться самолетом "Русский Витязь".
     При конструировании самолетов мы всегда  сталкиваемся с тем, что всякая
конструктивная  особенность, будучи выгодной в одном отношении,  оказывается
невыгодной  в  другом.  Это  всеобщий закон  для  конструкции,  но в  случае
летательных  аппаратов,  когда  приходится тщательно  экономить  в  весах  и
стремиться к  достижению минимальных энергетических затрат, противоречивость
различных факторов проявляется особенно остро. Так, желая повысить подъемную
силу,  мы  должны  увеличить  размах  крыльев,  но  это  неизбежно  ведет  к
утяжелению конструкции; развивая  органы устойчивости, мы, как правило,  или
повышаем сопротивление  движению  или утяжеляем  самолет,  и  так получается
всегда. За каждым конструктивным мероприятием  следует некоторая "плата"  за
него, и это всегда нужно учитывать.

     Pishnoff-99.gif
     Рис. 2. Схема самолета "Русский Витязь"
     Тандемное  расположение  двигателей  привлекает  своей   компактностью,
уменьшением сопротивления и особенно тем обстоятельством, что  оси винтов  в
этом случае мало удалены от центра тяжести самолета и в случае отказа одного
из двигателей заворачивающий момент оказывается относительно небольшим. Этот
фактор бывал часто решающим при выборе тандемного расположения двигателей.
     Отрицательное свойство тандемного  расположения  винтов состоит в  том,
что задний винт оказывается в этом случае в струе от переднего  винта  и его
сила  тяги понижается.  Это особенно существенно при малых скоростях  и мало
существенно при  больших  скоростях полета. Если у  самолета  запас мощности
велик, то  тандемная установка может оказаться выгодной. У самолета "Русский
Витязь" запас мощности был мал, и поэтому  более выгодными  были разнесенные
винты.  Разнесение  двигателей  по  крылу способствует разгружению крыла  от
изгибающего момента  и тем  самым дает возможность уменьшить вес конструкции
-- это тоже немаловажный фактор.
     Таким  образом,  в   зависимости   от   ряда   обстоятельств,  выгодным
оказывается одно или другое решение. Если взять  некоторую  деталь самолета,
например, стойку между крыльями, то можно сделать ее легкой, но сравнительно
толстой -- пустотелой или же, наоборот, сделать ее более тяжелой, но тонкой.
     Чтобы способствовать  выбору лучшего решения,  было  введено понятие об
авиационном весе.  Под  авиационным весом  понимался  вес груза, на  несение
которого данным  самолетом  затрачивалась такая же мощность, как и мощность,
затрачиваемая на несение рассматриваемой детали, не только обладающей весом,
но  и  повышающей  сопротивление  самолета. Исходя  из минимума авиационного
веса,  можно  было  выбрать  оптимальную  конструкцию  данной  детали.  Если
исходить только из условия получения максимальной полезной грузоподъемности,
не  стремясь получить большие  величины  скорости  и  дальности  полета,  то
оказывается, что  преимущества  имеют конструкции,  в  которых  предпочтение
отдается уменьшению веса.
     Такое мнение  складывалось в  связи  с  тем, что исходили из упрощенных
оценок веса  конструкции и  роли сил сопротивления. Впоследствии выяснилось,
что можно  очень значительно уменьшить силы  сопротивления самолета вместе с
довольно значительным уменьшением  веса конструкции.  Свободнонесущие крылья
очень  большого размаха оказались не тяжелее ферменных конструкций, подобных
бипланным коробкам самолетов "Русский Витязь" и ряда других.
     При рассмотрении  схемы  самолета "Русский  Витязь"  бросается в  глаза
большая длина фюзеляжа и довольно большая площадь  горизонтального оперения.
Есть указания на то, что имелись опасения по поводу устойчивости самолета, и
поэтому мощность его горизонтального оперения была повышена.
     Характеристикой мощности оперения служит величина
     Pishnoff-100.gif
     где
     Sго -- площадь горизонтального оперения;
     Lго  --  расстояние  от  центра тяжести  самолета до  центра
давления горизонтального оперения;
     bср -- средняя ширина крыла.
     Для самолета "Русский  Витязь" Аго приблизительно равно 1,0,
что примерно в 2,5 раза больше среднего значения этой величины для самолетов
того времени, да и  для более позднего. Вопросы устойчивости  мы  рассмотрим
более детально применительно к самолету "Илья Муромец".
     Строительная   высота   фюзеляжа   самолета   "Русский   Витязь"   была
относительно мала, и для  увеличения  его жесткости  был  поставлен наружный
шпренгель.  Кабина  экипажа  значительно  выдавалась  из  фюзеляжа  и  имела
довольно грубую  аэродинамическую  форму.  Эти  недостатки были устранены  в
конструкции  самолета "Илья  Муромец".  Шасси  самолета довольно сложное  --
имело  8  колес  и  6 лыж.  Грубость аэродинамических форм,  обилие  стоек и
растяжек  обусловили  большое  значение  приведенной  площади  сопротивления
F0, которая  составляет  около 10% площади крыла. Для современных
дозвуковых самолетов она составляет лишь около 1,5-- 2% площади крыла.
     Учитывая  эффект  биплана,  получим   для  самолета   "Русский  Витязь"
эквивалентный  размах  крыла,  равный  28,3 м;  при значении  F0,
равном около 12 м2, и мощности  двигателей  Nдв=400 л.
с. получим максимальное  аэродинамическое  качество  около 6  и максимальную
подъемную силу около 5800 кГ. При полетном весе 4200 кГ запас подъемной силы
будет  Y/G=l,38; это,  конечно,  очень небольшой запас, и  он мог обеспечить
лишь пологие виражи на  малых  высотах и высоту теоретического потолка около
2,5 км при практическом потолке около 2 км.
     2-го  августа  1913  г.  самолет "Русский Витязь" совершил рекордный по
продолжительности  полет, пролетав с  7-ю  пассажирами  1  час  54  мин. Вес
пассажиров  около 550 кГ, часовой  расход топлива около  90-- 100 кг; полный
запас топлива около 200-- 250 кГ. Тогда величина нагрузки будет равна  700--
750 кГ  и  при  весе  пустотелого  самолета, равном 3500  кГ,  взлетный  вес
получится 4200-- 4300 кГ.
     Самолет   "Русский  Витязь"   пострадал  от   совершенно   неожиданного
происшествия: над ним пролетал другой самолет, ротативный двигатель которого
сорвался  с  моторамы  и  упал  прямо  на  центральную часть  крыла самолета
"Русский  Витязь".  Самолет  "Русский  Витязь"  не восстанавливали не только
из-за того,  что он был сильно поврежден, но, видимо, и  потому, что к этому
времени был разработан и, вероятно,  уже строился более совершенный  самолет
-- "Илья Муромец".




     Первый  экземпляр самолета "Илья  Муромец"  был закончен  постройкой  в
конце 1913 г. и  совершил свой первый полет 11 декабря 1913 г., а в мае 1914
г. совершил свой  первый полет второй  экземпляр  самолета  этого типа --  с
более мощными двигателями. Об успехе новой конструкции свидетельствовали как
регулярные полеты, так и рекордные достижения. Из них следует отметить полет
с  10-ю  пассажирами   на  высоту  2000   м;  полет   с  шестью  пассажирами
продолжительностью 6 час 33 мин и полет с 15-ю пассажирами (включая экипаж).
     От  самолета "Русский Витязь" самолет  "Илья Муромец" отличался  прежде
всего  увеличенным размахом  крыльев, который (по  некоторым материалам)  на
первом  экземпляре  самолета был  равен  37  м. Самолеты, которые  строились
впоследствии имели размах крыльев от 30 до 33 м.
     Pishnoff-101.gif
     Рис. 3. Схема самолета "Илья Муромец"
     Фюзеляж самолета  был  несколько  укорочен,  а  главное, была увеличена
почти  в два раза его строительная высота, и тем самым значительно  повышена
жесткость  и уменьшено сопротивление. Вместе  с увеличением размаха  крыльев
увеличилась и их площадь.
     При рассмотрении схемы самолета с  современной точки зрения бросается в
глаза  отсутствие  носовой части, достаточно далеко выдвинутой вперед  (рис.
3).   Это  свидетельствует  об  отсутствии  стремления  получить  "переднюю"
центровку, о преимуществах которой тогда еще не было широко известно.
     Самолеты  "Илья Муромец" прошли суровую  школу боевых  полетов в первую
мировую войну в качестве  разведчиков  и  тяжелых  бомбардировщиков  русской
армии.  Это были  первые  самолеты, которые несли  многопудовые бомбы, имели
несколько оборонительных пулеметных установок, в том числе, установки поверх
центроплана, на шасси и сзади -- в концевой части фюзеляжа.
     На самолетах "Илья Муромец" впервые был освоен полет в закрытой кабине,
носовая  часть  которой была полностью  застеклена  и обеспечивала  отличный
обзор  передней  полусферы.  На  этих  самолетах  впервые  были  установлены
разнообразные  пилотажные, навигационные и бомбардировочные приборы, а также
был освоен  полет  в сложных условиях, при  отсутствии видимости земли и при
необходимости "пробивания" облаков.
     Первые полеты самолета "Илья Муромец" были вполне  успешны, а вскоре на
нем  были установлены рекорды  не только грузоподъемности,  но и дальности и
продолжительности полета. Это  свидетельствует об удовлетворительном решении
вопросов устойчивости и  управляемости и наличии  хорошего  запаса подъемной
силы у  самолета. Несмотря  на свой,  казалось  бы, малый  запас  прочности,
самолет "Илья Муромец" успешно  переносил полеты в "болтанку", которой в  то
время  старались  избегать  даже при полетах на небольших  и  более  прочных
самолетах.
     На  протяжении примерно 5 лет  серийного  производства  самолеты  "Илья
Муромец"  подвергались модификациям в основном в связи с заменой двигателей.
Некоторые  изменения были  внесены в размеры самолета  -- размах  и  площадь
крыльев.   Следует   отметить  также  модификацию   самолета,   связанную  с
увеличением запаса его прочности,  которая явилась реакцией конструкторского
бюро на имевший место случай поломки самолета в воздухе.
     На некоторых самолетах  были уширены крылья; видимо, это было связано с
повышением полетного веса при установке более мощных двигателей. Однако, как
мы покажем далее, хорда крыльев у самолетов "Илья Муромец" была относительно
мала,  и  это   не   позволяло  самолету  выходить  на  режимы  максимальной
грузоподъемности. Вообще же самолет "Илья Муромец" был выдающимся для своего
времени  явлением  по его летным  характеристикам  и  надежности. С  позиций
современных  знаний  по  самолету  можно  было бы сделать много  критических
замечаний, однако, без  детального рассмотрения особенностей самолета  нужно
быть осторожными в суждениях.
     Рассмотрим  основные  аэродинамические  и  динамические  характеристики
самолета  "Илья  Муромец".  Начнем  с  аэродинамического качества;  для  его
определения требуется  очень ограниченный материал.  Мы уже приводили расчет
аэродинамического  качества  и  получили  Kmах=6,3-6,6.  Для того
времени  это  довольно  высокое  качество.   Эффективное  удлинение  крыльев
l=lэ/S=322/140=7,3; в описаниях самолета дается полная
несущая площадь вместе с горизонтальным оперением; мы принимаем, как обычно,
площадь без оперения S=140 м2; Cх0=1,28F/S =0,13.
     Максимальное   аэродинамическое  качество   соответствует  коэффициенту
подъемной силы
     Pishnoff-102.gif
     эта   величина   явно   выше  максимального   значения,  и   полученное
теоретически максимальное аэродинамическое качество практически использовано
быть     не     может.      Допуская     Cу=1,0-1,2,      получим
Cx=0,13+Cy2/pl=0,18-0,20 и К=5,6-- 6,0. Для
уменьшения Cун, если нет возможности уменьшить вредную площадь F,
следует увеличить  среднюю  хорду крыла b;  так, для  получения
Cу=1,2 нужно крылья уширить таким образом, чтобы их площадь стала
равной примерно 200 м2.
     Вторым  важнейшим параметром самолета  является максимальная  подъемная
сила  Ymах и отношения подъемной силы к весу пустого самолета и к
полетному весу.  Используя полученное  в  разделе  "Анализ  грузоподъемности
самолетов" значение Ymах=8650 кГ, будем иметь:
     Pishnoff-103.gif
     Заметим, что здесь значение Ymах несколько завышено, так как
значение  Cу,  соответствующее  Ymах,  не  может  быть
использовано.     Упрощенными     характеристиками     являются    параметры
К=G0/(Nl)2/3                            и
КG=G/(Nl)2/3,  которые  для  самолета  "Илья  Муромец"
будут  соответственно  К=  5,6  и  КG=7,3.  Величина
К  для  самолета  "Илья  Муромец"  только немного  выше,  чем у
тяжелых самолетов 1935-- 1945 гг.
     Для   более   полной   характеристики   самолета  приводим   результаты
аэродинамического  расчета. На рис. 4 дана  поляра самолета с крылом тонкого
профиля и относительной кривизной средней линии около 7%. Такие профили дают
сильное  увеличение  сопротивления  на малых Cу,  однако, самолет
"Илья  Муромец" при малых Cу  не  летает;  даже  при максимальной
скорости   на   малой   высоте    при   q=58,    G/S=37    кГ/м2,
Cу=0,64.
     Задаваясь  различными  значениями  Cу  и  подъемной силы  Y,
получим потребные скорости горизонтального полета
     Pishnoff-105.gif
     сопротивление  Q=YCx/Cу  и потребную для  полета
мощность  N=QV/75.  На  рис.  5  приведены потребные  мощности для  значений
подъемной силы 4; 5; 6 и 7 Т. Чтобы график был пригоден для разных высот, по
оси          абсцисс         отложена         индикаторная          скорость
Vi=V•(r/ro)1/2, а  по  оси ординат величина
N=(r/ro)1/2.  На  том  же  графике  нанесены  полезные
(располагаемые)   мощности   винтомоторной   группы   Nпол,  тоже
умноженные  на  (r/ro)1/2  для  соответствующих  высот
полета. Эти характеристики были получены обычными методами для двухлопастных
винтов с диаметром 3 м  и шагом  2  м  для  расчетного числа  оборотов  1300
об/мин.
     Pishnoff-106.gif
     Pishnoff-107.gif
     Рис. 4. Поляра и профиль крыла самолета "Илья Муромец"

     Pishnoff-108.gif
     Рис. 5. График потребных и располагаемых мощностей
     По точкам пересечения кривых потребных  и  располагаемых мощностей  для
соответствующих  высот мы получим скорости полета при работе  двигателей  на
максимальном режиме на постоянной высоте при разных значениях подъемной силы
Y.  Полученные  характеристики приведены на рис. 6. Если вес самолета  равен
подъемной  силе,  то это  будет  соответствовать  горизонтальному полету,  и
график даст зависимости максимальной и минимальной скоростей от высоты.
     Pishnoff-109.gif
     Рис. 6. Характеристики горизонтальных скоростей
     Если  вес  меньше  подъемной силы,  то  мы получим условия маневра  без
изменения  высоты с коэффициентом перегрузки ny=Y/G; по значениям
ny и скорости получим радиус виража
     Pishnoff-110.gif
     При скоростях, меньших максимальных, и  при полной  мощности двигателей
будет   иметь   место   набор  высоты,   определяемый  избыточной  мощностью
DN=Nполн--  N.  Максимальную  вертикальную  скорость  получим  по
максимальному избытку мощности, определяемому максимальной разностью ординат
кривых потребных и полезных мощностей на графике:
     Pishnoff-111.gif
     Значения  Vy определяем для  разных  высот  и  строим график
(рис. 7),  по которому уточняем  высоту  потолка и можем  произвести  расчет
времени  подъема  на разные высоты. Время  подъема на различные высоты можно
найти путем интегрирования функции  Vy по h. Однако для самолета,
подобного самолету "Илья Муромец", можно применить простые соотношения -- за
18  мин самолет поднимается на высоту, равную  50%  от высоты потолка, за 36
мин  -- на  75%  и  за  1  час  --  на 90% от высоты потолка,  независима от
полетного веса.
     Pishnoff-112.gif
     Рис. 7. Характеристики вертикальных скоростей
     Pishnoff-113.gif
     Рис. 8. Характеристики взлета для самолета "Илья Муромец"
     Расчет расхода бензина  выполнен для среднего  полетного веса 5000 кГ и
получен минимальный  часовой  расход  около  100  кг/час  при скорости 80-85
км/час,  что  дает  расход  на 1 км пути  Ск=1,25-1,3 кг/км;  при
скорости  100  км/час километровый  расход  составляет около  1,5 кг/км  при
часовом расходе 150 кг/час.
     Для расчета разбега исходим из таких значений силы тяги:

V, м/сек 0 10 15 20 25
Р, кГ 1800 1720 1570 1300 1200
Длины разбега при разных весах были рассчитаны при коэффициенте трения m=0,08 и аэродинамическом качестве (с учетом близости земли) К=8; зависимость длины разбега от веса показана на рис. 8. Кроме того, на графике нанесены значения среднего ускорения jср и минимального ускорения jmin. В описаниях самолетов "Илья Муромец" приводятся различные значения взлетного веса. Это и понятно -- самолеты несколько раз модифицировались, двигатели на них менялись, и вообще не существует строгого критерия, определяющего взлетный вес. Каждый конкретный самолет может эксплуатироваться с различными полетными весами в зависимости от условий и целей полета. Максимальный взлетный вес может определяться разными факторами. Так, в условиях военного применения решающим фактором является желаемая высота потолка. Автору рассказывали, что когда первый самолет "Илья Муромец" отправляли на фронт в 1914 г., то для получения высоты потолка, равной не менее 2000 м, самолет пришлось разгрузить, убрав из него копию картины Васнецова "Три богатыря" и демонтировав фотолабораторию. Если высота потолка не является определяющей, то максимальный вес находят из условий маневрирования с тем, чтобы величина ny=Y/G была не менее 1,2-1,3, или же исходя из условий взлета. Практика полетов показала, что ускорение при разбеге должно быть не менее 1,5 м/сек2. Малое ускорение плохо не только тем, что при этом получается большая длина разбега, а еще и тем, что оно сильно меняется под влиянием малых изменений сил тяги или сопротивления. Исходя из высказанных соображений, взлетный вес самолета "Илья Муромец" не должен был превышать 5300-5500 кГ, потолок при этом будет равен 2300-2500 м и длина разбега около 200 м. При весе пустого самолета, равном 4100-4200 кГ, вес полной нагрузки будет равен 1200-1300 кГ; максимальный коэффициент перегрузки, обеспеченный тягой на малых высотах, будет nу=1,4-1,45; заметим, что при более точном расчете максимальная подъемная сила оказалась равной около 8000 кГ. Указанная перегрузка позволяет делать виражи с креном до 45o; практически делались виражи, видимо, более пологие. При крене 30o и скорости 90 км/час мы получим радиус виража около 110 м и время совершения полного круга, равное 28-30 сек. При запасе топлива 500-600 кг время полета будет равно 5-- 6 час, а дальность полета 400-450 км; при перелете, выполненном в 1914 г., запас топлива был доведен до 940 кг и было покрыто расстояние 700 км за 7 час 25 мин. Это дает среднюю скорость 94 км/час, часовой расход топлива около 120 кг/час (часть топлива, видимо, оставалась неизрасходованной) и километровый расход не более 1,35 кг/км. Это близко к его величине, полученной по расчету. Перейдем к рассмотрению вопросов управляемости и устойчивости. На рис. 9 показаны для сравнения схемы самолетов "Илья Муромец" и Ил-18. Оба самолета имеют одинаковую площадь крыльев, близкие по значению размахи крыльев и почти одинаковые площади горизонтального оперения. Бросается в глаза прежде всего то обстоятельство, что фюзеляж и двигатели самолета "Илья Муромец" едва выдаются вперед за крыло, в то время как почти половина фюзеляжа самолета Ил-18 выдвинута вперед и двигатели тоже сильно вынесены вперед. Длина самолета Ил-18 в два раза больше длины самолета "Илья Муромец". Pishnoff-114.gif Рис. 9. Схемы самолетов "Илья Муромец" (а) и Ил-18 (б) Когда разрабатывался самолет "Илья Муромец", еще не были выработаны критерии для суждения об устойчивости и управляемости самолетов. Были, конечно, некоторые теоретические соображения, но оценку свойств самолета давал летчик, исходя из особенностей его пилотирования. Вопросам развития идей и теорий по обеспечению устойчивости и управляемости самолетов мы посвятим специальную работу. Здесь мы попытаемся дать оценку самолета "Илья Муромец", исходя из основных современных критериев. Выявление характеристик этого самолета в отношении его управляемости и устойчивости представляет большой интерес, поскольку самолет был достаточно тяжелым, своеобразным по схеме, и опыт его эксплуатации в полете достаточно велик. К сожалению, не сохранилось каких-либо материалов, расчетов и отзывов летчиков, и поэтому мы вынуждены прибегать к расчетам, которые, естественно, довольно приближенны. Первый вопрос, который приходится решать конструктору для обеспечения управляемости самолета, это выбор площади рулей и их расстояния от центра тяжести самолета. Этот вопрос решается исходя из практики строительства самолетов, т. е. из статистики. Статистика дает значительные колебания величин относительных площадей органов управления и конструктор делает выбор в соответствии с особенностями своего замысла. Когда самолет начинают испытывать в полете, площади органов управления часто подвергаются изменениям. Площадь горизонтального оперения самолета "Илья Муромец" составляет около 23% площади крыла и потому его следует оценить как относительно большое по величине. Плечо оперения составляет около 40% размаха крыльев, что близко к среднему значению этой величины. Следующий очень важный вопрос -- это выбор положения центра тяжести. Ему всегда уделяли много внимания, но в ранние годы развития авиации критерии выбора положения центра тяжести еще не были надежно обоснованы. Конечно, и тогда хорошо понимали, что центр тяжести должен совпадать с центром давления системы "крыло-оперение". Существовали три основных типа продольной балансировки -- с несущим стабилизатором, с нейтральным и с отрицательным. Для самолета "Илья Муромец" был выбран первый тип и поэтому стабилизатор был поставлен примерно с таким же установочным углом, как и крыло, и профиль стабилизатора был близок к профилю крыла. Прилагая в центрах давления крыла и оперения силы, пропорциональные их площадям, и складывая их, мы получим общий центр давления, где и должен находиться центр тяжести. Проделав этот расчет, мы получим точку, лежащую на расстоянии, равном 90% длины хорды крыла, от передней кромки. Иными словами, центровка самолета была около 90%, что по современным взглядам нужно оценить как чрезвычайно заднюю Примерный расчет положения центра тяжести дал такое же значение. Идея несущего оперения впоследствии была отвергнута. Развитие теории крыла показало, что за крылом имеется скос потока и что стабилизатор, установленный под тем же углом, что и крыло, будет иметь значительно сниженную подъемную силу, а центр давления самолета будет смещен вперед. Установка стабилизатора под углом, большим, чем угол установки крыла, опасна из-за возможности затягивания самолета в пикирование, и это обстоятельство было давно известно. Однако самолет "Илья Муромец" летал с указанной задней центровкой, а недостаток подъемной силы стабилизатора восполняли отклонением вниз мощного руля высоты. Согласно принципам балансировки самолетов, которые были развиты в период 1920-- 1930 гг., центр тяжести самолета должен находиться впереди точки, называемой аэродинамическим фокусом самолета. Положение фокуса определяется следующим образом. Предположим, что мы увеличиваем угол атаки самолета на небольшую величину; тогда получим приращения подъемных сил крыла и оперения DYкр и DYго; прилагаем их в точках фокуса крыла и оперения, которые находятся на расстояниях, равных 1/4 длины хорды (соответственно крыла и оперения), и складываем как параллельные силы; их равнодействующая и пройдет через фокус. Особенность расчета положения фокуса состоит в том, что нужно учесть величину удлинения крыльев при определении приращения Су и учесть воздействие крыла на оперение. Применительно к самолету "Илья Муромец" мы получим следующее. Пусть у крыла приращение подъемной силы DYкр=1000; тогда у оперения мы получили бы меньшее приращение -- соответственно меньшей площади, равное 0,23DYкр, но вследствие того, что оперение имеет меньшее удлинение, приращение будет еще меньше, и составит 0,17DYкр. Pishnoff-115.gif Рис. 10. Схема центровки самолета "Илья Муромец" При увеличении угла атаки крыла усилится и скос потока за крылом, который составит около 35% угла атаки, и соответственно снизится приращение подъемной силы оперения. В итоге получим DYго=0,11 DYкр=110. Определяя положение фокуса самолета (рис. 10), получим его на расстоянии 1,25 м позади фокуса крыла, или на расстоянии 1,88 м от передней кромки крыла. Это составит 0,75 длины хорды крыла и, значит, в итоге центр тяжести оказался не впереди фокуса, а позади него -- на расстоянии, равном 15% длины хорды крыла. Самолет, у которого центр тяжести расположен позади фокуса, расценивается как статически неустойчивый по углу атаки, т. е. как не способный сохранять угол атаки автоматически. При пилотировании статическая неустойчивость проявляется прежде всего в том, что для увеличения угла атаки сначала нужно отклонить руль высоты, как обычно, вверх, но, когда самолет уже повернется, руль высоты следует не только вернуть в исходное положение, но и отклонить его в обратную сторону, чтобы не допустить дальнейшего увеличения угла атаки (тенденцию к чему самолет проявит). В итоге, при пилотировании летчику приходится больше работать рулем высоты, а освободить штурвал у такого самолета вообще нельзя. Обратное отклонение руля высоты при статической неустойчивости будет особенно заметно при посадке, когда перед касанием самолетом земли руль окажется сильно отклоненным вниз. Указанное явление, конечно, усложняет пилотирование и требует повышенного внимания. Однако летчики, так или иначе, осваивались с этими особенностями. Статическая неустойчивость самолета может привести к неустойчивости самолета по перегрузке, что является уже опасным и поэтому совершенно недопустимым. Пусть в полете по некоторой причине изменился угол атаки; это может быть движение рулем высоты или действие восходящего воздушного потока. Изменение угла атаки приведет к увеличению подъемной силы на величину DY и, следовательно, к увеличению коэффициента перегрузки на величину Dn= DY/G. Статически устойчивый самолет автоматически вернется к исходному углу атаки, и приращение будет ликвидировано. Однако на уменьшение перегрузки будет влиять еще один фактор. Перегрузка возникает при изменении угла атаки. Угол атаки представляет собой разность утла тангажа самолета, измеряемого по линии нулевой подъемной силы J, и угла наклона траектории q, т. е. a= J-- q. При возникновении перегрузки линия полета (вектор скорости) начинает поворачиваться с некоторой угловой скоростью, которую легко определить из выражения: Pishnoff-116.gif При наличии статической неустойчивости, т. е. когда фокус лежит позади центра тяжести, самолет тоже начинает вращаться с некоторой угловой скоростью в сторону увеличения угла тангажа. Расчет этой угловой скорости более сложен, так как для этого нужно сопоставить момент от возникшей перегрузки с тормозящим моментом от движения горизонтального оперения. Для того чтобы перегрузка стала увеличиваться, угловая скорость вращения самолета должна быть больше угловой скорости вращения вектора скорости. Допустим, что Dny=0,1 и скорость полета равна 25 м/сек; тогда угловая скорость вектора скорости будет около 0,04 или 2,3 град/сек. Избыточная подъемная сила DY=GDny=500 кГ, находящаяся на расстоянии 0,375 м впереди центра тяжести, даст вращающий момент Мвр=186 кГ•м. Учитываем также тормозящий момент оперения от увеличения его угла атаки при вращении Da=w•aго/V и равный Pishnoff-117.gif Приравнивая оба момента, получим угловую скорость самолета wсам=0,0075 1/сек, или 0,43 град/сек. Оказывается, вектор скорости будет вращаться значительно быстрее, чем самолет, и угол атаки будет уменьшаться. Значит, самолет "Илья Муромец" устойчив по перегрузке. Если бы мы взяли более быстроходный самолет с таким же положением фокуса и центра тяжести, то угловая скорость вращения вектора скорости оказалась бы меньше, а угловая скорость вращения самолета больше, и такой самолет оказался бы неустойчивым по перегрузке. Математические теории устойчивости самолета были разработаны довольно давно и к 1910 г. были опубликованы теории Фербера, Г. А. Ботезата и др. Все эти теории были близки друг к другу и исходили из линеаризации уравнений движения, разделения движений на продольные и боковые, и в итоге, возмущенное движение самолета характеризовалось линейными дифференциальными уравнениями четвертого порядка. Впоследствии было найдено, что движения самолета, как продольные, так и боковые, можно разделить на малые -- короткопериодические и большие -- длиннопериодические. Для сравнительно быстроходных самолетов такое разделение было вполне приемлемо, а расчет сильно упрощался, так как уравнение четвертого порядка разделялось на два уравнения второго порядка. Подобное разделение движений на малые и большие применяется и в настоящее время. Интересно рассмотреть, применимо ли такое разделение для самолета "Илья Муромец". Произведенный нами расчет дал следующий результат. Уравнение четвертого порядка для продольных движений самолета "Илья Муромец" имеет такой вид: Pishnoff-118.gif Ему соответствует характеристическое уравнение l4 + Bl3 + Cl2 + Dl + E = 0; B = 9; C=13; D = 3,5; E=-1. В результате мы получили корни характеристического уравнения l1=-7,3; l2=0,18; l3=-1,17 и l4=-0,7. Три корня отрицательны и свидетельствуют об устойчивости трех составляющих движений, а один корень положительный. Постоянные времени для устойчивых движений будут: Т1=0,135 сек; Т2=0,85 сек; Т3=1,43 сек. Постоянная времени для неустойчивого движения будет Т4=5,5 сек. Малые значения постоянных времени устойчивых составляющих характеризуют чрезвычайно быстрое затухание этих движений. Практически эти движения будут представляться совершенно заторможенными и неощутимыми для экипажа самолета. Неустойчивое движение с постоянной времени, равной 5,5 сек, характеризуется тем, что всякое нарушение параметров движения, например, перегрузки, будет возрастать вдвое за время, равное 0,7•5,5=3,8-4 сек. Например, если в результате возмущения перегрузка увеличилась на 0,1 и стала равной 1,1, то через 4 сек она будет равна 1,2, через 8 сек -- 1,4 и через 12 сек -- 1,8. Устранить такое изменение перегрузки для летчика никакого труда не составит, а при полете в неспокойной атмосфере неустойчивость будет вообще незаметна, так как летчик будет устранять нарушения угла тангажа J с интервалами времени не более 2-3 сек. Опыт управления неустойчивыми системами показывает, что трудность удержания равновесия появляется при постоянных времени менее 0,2-0,3 сек. Неустойчивость с постоянной времени, равной 5 сек, следует оценить как весьма слабо выраженную. Важной характеристикой управляемости самолета является соотношение между моментом, вызванным отклонением руля высоты, и усилием, приложенным летчиком. Это соотношение имеет размерность длины и называется приведенным рычагом продольного управления LB. Для самолета "Илья Муромец" мы получили значение Lв приблизительно 100 м; для большого по размерам самолета это сравнительно мало, что объясняется отсутствием аэродинамической компенсации на руле высоты. Если летчик прилагает к штурвалу усилие, равное 1 кГ, то тем самым он прилагает к самолету момент около 100 кГ•м, что вызывает угловое ускорение около 0,02 1/сек2; соответственно, усилие, равное 10 кГ, даст угловое ускорение 0,2 1/сек2. На некоторых вариантах самолета "Илья Муромец" стрелок мог перемещаться к кормовой установке, что сообщало самолету момент около 1000 кГ•м; тогда для удержания самолета в равновесии летчику нужно было приложить к штурвалу усилие около 10 кГ. Это, конечно, многовато. Основной характеристикой продольной управляемости самолета служит соотношение приращений усилия DPв на ручке или на штурвале управления и перегрузки Dny. Оно обозначается символом dPв/dny или Pвn. Имея характеристику запаса продольной устойчивости по перегрузке x0=xF-- хT и приведенную длину рычага продольного управления Lв, мы легко найдем желаемую характеристику. Прилагая в фокусе самолета, положение которого определено с учетом эффекта вращения, силу, равную весу самолета G, мы тем самым увеличим коэффициент перегрузки на единицу и получим момент Mz= Gx0. Для уравновешивания этого момента мы должны отклонить руль высоты, приложив к штурвалу некоторое усилие DРв. Зная величину Lв, мы получим Mz= DРв•Lв и затем искомую характеристику управляемости: G x0+ DРв Lв=0; DРв= - Gx0/Lв; Pвn = -5000•0.9/100= - 45 кГ. Мы получили около 45 кГ на единицу перегрузки, что довольно близко к тому значению, которое имеется у современных самолетов. Если учесть весовой момент руля высоты, то величина Pвn значительно увеличится; продольное управление самолета "Илья Муромец", вероятно, было довольно тяжелым. Специального рассмотрения боковой устойчивости самолета не требуется. Совершенно ясно, что у большого тихоходного самолета боковые движения апериодично устойчивы и их характеризуют малые постоянные времени. Для самолета с разнесенными двигателями интересно рассмотреть возможность полета с несимметричной тягой при остановке боковых двигателей. Остановка одного крайнего двигателя при скорости 90 км/час приводит к возникновению заворачивающего момента, равного около 1700 кГ•м, а остановка обоих двигателей, расположенных с одной стороны, дает заворачивающий момент около 2500 кГ•м. Максимальный момент, который дает отклонение рулей направления, составляет около 3500 кГ•м; следовательно, при помощи рулей направления можно уравновесить заворачивающий момент при остановке двух двигателей, расположенных с одной стороны. Остановимся еще на движении крена при отклонении элеронов. При отклонении элеронов самолет начинает вращаться с некоторым угловым ускорением, которое, однако, быстро уменьшается в результате действия демпфирующего момента от вращения, после чего устанавливается угловая скорость накренения, когда момент от элеронов уравновешивается моментом от эффекта вращения. У тихоходного самолета "Илья Муромец", обладающего большим размахом крыльев, эффект от вращения должен быть особенно велик. При отклонении элеронов на 10о; при скорости полета 25 м/сек мы получим кренящий момент Мх э, равный около 6000 кГ•м; при моменте инерции относительно продольной оси самолета Jx примерно 50000 кГ•м•сек2 начальное угловое ускорение будет dwx/dt= Мх э /Jx =0,12 рад/сек2, демпфирующий момент от вращения будет около Image89.gif При постижении равновесия моментов от вращения и от элеронов угловая скорость будет равна Pishnoff-122.gif или 7о в секунду, а конец крыла будет опускаться с вертикальной скоростью, равной 0,12•16=2 м/сек. Диаграмма зависимости угла крена от времени получилась в виде почти прямой линии (рис. 11), т. е. как при вращении с постоянной угловой скоростью, но только эта прямая сдвинута примерно на 1 сек от момента отклонения элеронов. После установки элеронов в нейтральное положение самолет затормозит свое движение крена, пройдя примерно еще 7о угла крена, или 70% от угла отклонения элеронов. При плавном действии элеронами (как обычно и действуют при пилотировании) самолет сразу начинает вращаться с постоянной угловой скоростью при отклонении элеронов и сразу останавливается при нейтральном положении элеронов. Самолет "Илья Муромец" является классическим примером самолета с полностью заторможенными вращательными движениями, когда, несмотря на значительную величину моментов инерции, инерционность почти совсем не проявляется. Pishnoff-123.gif Рис. 11. График изменения угла крена по времени при отклонении элеронов Мы довольно подробно рассмотрели аэродинамические и динамические характеристики самолета "Илья Муромец" для того, чтобы продемонстрировать, сколь своеобразны были его свойства. На этом мы заканчиваем рассмотрение начального периода развития тяжелых самолетов. Последующие периоды также были весьма интересны и поучительны, и мы намерены вернуться к их рассмотрению в дальнейшем. ВВЕДЕНИЕ Среди различных направлений развития самолетов своеобразна история развития маневренных истребителей. Хотя термин "маневренный истребитель" имел ограниченное распространение, но при анализе истории развития истребителей мы можем отчетливо выявить стремление к соревнованию по показателю маневренности. Самолеты-истребители первоначально предназначались для борьбы с разведчиками и бомбардировщиками противника и для решения этой задачи особых требований к маневренности истребителя не предъявлялось. Однако почти всегда существовали преимущества истребителя над более тяжелыми самолетами в отношении маневренности и скорости. Только в очень редких случаях разведчик или легкий бомбардировщик оказывался более быстроходным или более маневренным, чем истребитель. Необходимость в самолетах, предназначенных для борьбы с разведчиками и бомбардировщиками, возникла уже в первые месяцы первой мировой войны 1914-- 1918 гг. В истории авиации навсегда сохранится память о воздушном бое, проведенном летчиком П. Н. Нестеровым с австрийским бомбардировщиком в 1914 г., когда П. Н. Нестеров, не имея на своем самолете специального вооружения, решил повредить вражеский самолет, нанеся ему непосредственный удар своим самолетом. Как известно, оба самолета погибли. Можно предположить, что П. Н. Нестеров пытался повредить воздушный винт самолета противника, задев его своим шасси. На рис. 1 показана вероятная схема момента сближения самолетов. В то время на самолетах применялись деревянные, довольно тонкие винты, которые при работе находились в весьма напряженном состоянии, и задевание лопастями за посторонний предмет легко приводило к разрушению лопастей почти без всякого повреждения этого предмета. Из рис. 1 видно, что самолет "Моран-Ж", на котором летел П. Н. Нестеров, имел очень плохой обзор вперед и вниз, и П. Н. Нестерову было трудно рассчитать движение самолета. Наоборот, летчик самолета противника очень хорошо видел самолет П. Н. Нестерова и, видимо, на это как-то реагировал. Самолеты столкнулись. Какое повреждение получил неприятельский самолет, мы не знаем; видимо, оно было очень значительным. Однако самолет П. Н. Нестерова был поврежден мало и, как показали очевидцы, некоторое время нормально снижался, но затем перевернулся и летчик выпал из него. Pishnoff-124.gif Рис. 1 Схема тарана П. Н. Нестеровым австрийского самолета Можно предполагать, что у самолета П. Н. Нестерова было повреждено поперечное управление. Наиболее распространена была версия, согласно которой П. Н. Нестеров был ранен при столкновении самолетов и потерял сознание. Отвергать эту версию нельзя, однако, можно и сомневаться в этом, поскольку сила удара едва ли была велика. При авариях самолета "Моран-Ж" были случаи, когда даже при полном разрушении самолета при ударе о землю летчик страдал мало. Самолет, на котором летел П. Н. Нестеров, превосходил самолет противника по скорости, скороподъемности и маневренности. Чтобы перехватить противника, П. Н. Нестерову нужно было только своевременно взлететь, что ему и удалось. Воздушный бой П. Н. Нестерова напоминал нападение быстрокрылого сокола, который, используя снижение, легко настигает птицу с более низкими летными возможностями или недостаточно осмотрительную. Такой вид воздушного боя получил распространение и в авиации, особенно в условиях "свободной охоты". Успех боя в большой мере определялся уменьем незаметно подойти к противнику. В конце 1914 г. и в начале 1915 г. сложился тип самолета-истребителя с пулеметом, стреляющим вперед, сначала выше винта, а затем (с изобретением синхронизатора) -- и через плоскость вращения винта. Истребители появились у обеих воюющих сторон, и, естественно, возникла необходимость борьбы между ними. Обеспечение преимущества в воздушном бою явилось важнейшим фактором, определившим дальнейшее развитие самолетов-истребителей. В борьбе между истребителями бывают случаи, когда один из них незаметно подкрадывается к другому и относительно легко добивается победы над ним. Однако более распространенным был случай, когда противники сходились примерно в равных исходных условиях и затем вели бой, используя свой личный летный опыт и возможности своих самолетов. Расположение оружия для стрельбы вперед (примерно по линии полета) определяло маневр захода "в хвост" противнику. Аналогично действовал и противник. Воздушный бой принимал типичную схему кружения, или "карусели". Подобная карусель является элементом боя, который в действительности может усложняться и другими движениями, особенно, если противников много, и превращаться в своеобразную "собачью свалку", при которой фактор организации и поддержки товарищей играет очень большую роль. Мы не имеем намерения вникать в тактику сложных воздушных боев. Совершенствование истребителей определялось элементами воздушного боя, для успешного ведения которого требовались: преимущество в скорости на стадиях сближения и ухода, преимущество в маневрировании, наличие хорошего обзора, мощность вооружения, живучесть конструкции самолета и двигателя. Впоследствии значительное внимание уделялось бронированию летчика, защите топливных баков и других жизненно важных агрегатов. В данной работе поставлена задача -- рассмотреть вопросы, связанные с маневренностью. Этот комплекс вопросов вовсе не узок; стремление к повышению маневренности определяет очень многое в конструкции самолета, а также в выборе двигателя, запаса топлива, вооружения, оборудования и т. п. Борьба за преимущество в маневренности была ярко выражена в период первой мировой войны и продолжалась в период между двумя мировыми войнами. Когда говорили о маневренных свойствах истребителей, то понимали под этим горизонтальный маневр, т. е. радиус и время совершения круга. К началу второй мировой войны с ростом скорости полета роль горизонтального маневра стала падать, а пришедший ему на смену вертикальный маневр поставил перед конструкторами иные требования, и истребители, маневренные в горизонтальной плоскости, сошли со сцены. Разделение истребителей на скоростные и маневренные утратило прежний смысл. Пройдут столетия, окончательно уйдут в прошлое войны между народами. При изучении истории войн, может быть, возникнет мысль об аналогии между воздушным боем самолетов и единоборством богатырей и рыцарей. Для этого, безусловно, есть основания. В единоборстве богатырей и рыцарей обычно преследовалась цель не убить противника, а лишить его возможности дальнейшего сопротивления. Так, рыцарь, сброшенный с коня, был совершенно беспомощен. В воздушном бою основная задача -- сбить самолет, уничтожить его как боевую силу. Однако, когда сбивают самолет, может погибнуть и его экипаж. В период первой мировой войны вероятность гибели летчика-истребителя была особенно велика. Во-первых, вес летчика составлял в то время 12-16% веса самолета; во-вторых, парашютов еще не было. Достаточно было повредить ответственный силовой элемент или орган управления, чтобы самолет был сбит и возможность его посадки была исключена. У летчика оставалась единственная надежда на "удачный" удар о землю, при котором он не будет убит. Если учесть, что самолеты были довольно легкие, некоторая вероятность остаться живым при падении с большой высоты была. Парашюты для опасения летчиков стали применяться только с 1926-- 1928 гг. Истребители периода второй мировой войны имели вес 3000-3500 кГ и доля веса пилота снизилась до 2-2,5%; кроме того, пилот был прикрыт бронеспинкой сзади и бронестеклом спереди. В случае необходимости летчик мог, сбросив крышку фонаря, относительно легко покинуть самолет и спуститься на парашюте. Вероятность гибели летчика в случае, когда сбивали самолет, стала меньше. С появлением и развитием реактивных самолетов-истребителей доля веса летчика снизилась еще больше и дошла до одного процента и даже менее того. Интересно, что полетный вес одноместных реактивных истребителей 1950-- 1955 гг. стал даже выше, чем вес многоместного тяжелого бомбардировщика "Илья Муромец" 1914-- 1918 гг. Однако возможности для спасения летчика ухудшились в связи с трудностью покидания самолета на большой скорости. Тогда были разработаны катапультные кресла, при помощи которых летчик буквально выстреливался из самолета. Эти выстреливания подвергают летчика таким нагрузкам, которые ранее были бы признаны как весьма опасные для жизни. Но, если условия полета все усложняются -- в связи с ростом высоты и скорости, -- то средства спасения соответственно совершенствуются. Если мы хотим рассмотреть, как совершенствовались маневренные характеристики самолетов, то необходимо начать с частных показателей маневренности. Можно судить о маневренности по минимальной кривизне траектории 1/r, которую может описать самолет; однако, в полете измерить радиус r довольно трудно. Более удобным критерием является время совершения полного круга t или угловая скорость, достигаемая при длительном развороте, w=V/r. Характеристики маневрирования можно рассматривать с двух позиций. Первая из них основана на том, что маневрирующие самолеты занимаются взаимным преследованием, стараясь зайти друг другу "в хвост" для выполнения стрельбы из оружия, установленного примерно по линии полета. Этот вид стрельбы обладает очень высокой прицельностью. В указанном, очень характерном, виде маневрирования оба самолета движутся по примерно одинаковым траекториям с приблизительно одинаковыми скоростями и перегрузками. Однако некоторые различия в их движении есть, и мы их далее рассмотрим. Вторая позиция основана на рассмотрении характеристик маневрирования в связи со способностью самолета проявить инициативу для начала боя и для выхода из него. Так, возможен случай, когда самолет может успешно вести маневрирование при взаимном преследовании, но не может прекратить боя, так как при попытке это сделать он будет атакован противником. И, наоборот, самолет может обладать такими свойствами, которые дают ему возможность атаковать противника, но делают его менее маневренным в условиях взаимного преследования. Маневрирование самолета связано с искривлением траектории его движения в вертикальной и горизонтальной плоскостях, а это требует изменения подъемной силы, и в основном ее увеличения. Изменение подъемной силы оценивается коэффициентом перегрузки ny=Y/G. По известным значениям коэффициента перегрузки ny, скорости полета V, высоты h, угла наклона траектории q и угла крена g можно найти радиусы кривизны траектории. Так, в случае виража с утлом крена g мы получим значения радиуса и угловой скорости: Pishnoff-125.gif Для характеристики скорости полета и возможности создания перегрузки удобно принять кинетическую высоту hк=V2/2g, тогда аэродинамическое условие создания перегрузки можно представить в виде Складывая hк с высотой h, получим высоту уровня энергии hэ=h+hк. Высота полета определяется геометрическими характеристиками траектории; величина hэ определяется приходом энергии от двигательной группы и ее расходом на преодоление сил сопротивления. Важнейшим уравнением полета является характеристика изменения энергии по пути, т. е. производная уровня энергии по пути: Pishnoff-127.gif Подставляя выражение для силы сопротивления Q через подъемную силу, деленную на аэродинамическое качество, получим Pishnoff-129.gif При маневрировании, в зависимости от характеристики энерговооруженности самолета N/G, его аэродинамического качества на режиме маневра КА (которое может и не быть максимальным) и от перегрузки, которую летчик создает, действуя рулем высоты nу, мы можем получить положительное или отрицательное изменение энергии, т. е. nx будет положительным или отрицательным. В частном случае есть такой маневр, при котором nx колеблется около нулевой величины, и этому будет соответствовать некоторое значение коэффициента перегрузки nya. Эта величина максимальной перегрузки nпри условии сохранения энергии hэ =const является важнейшим фактором, определяющим маневренные возможности самолета. Способ определения nya для конкретных значений высоты полета и веса самолета излагается в курсах динамики полета. Однако для определения nya есть более простой путь. В статье о тяжелых самолетах мы приводили выражение для максимальной подъемной силы, которую может развивать самолет в течение длительного времени, т. е. при постоянстве энергии: Ymax=Ky(Nl)2/3(r/ro) 1/3 При винте фиксированного шага Ky~6,8(KA)1/3, при винте изменяемого шага, дающего увеличение коэффициента полезного действия винта и мощности двигателя благодаря повышению его числа оборотов, Ky~7,2(KA)1/3. В итоге получим выражения для максимального коэффициента перегрузки самолетов выпущенных ранее 1935 г., с винтами фиксированного шага: Image94.gif Для самолетов более позднего выпуска с винтами изменяемого в полете шага, обеспечивающими постоянство оборотов двигателя, получим Image95.gif Поскольку аэродинамическое качество КA входит в формулу под кубичным корнем, его можно определять довольно грубо. Полетный вес самолета складывается из веса пустого самолета G0, в который входят вес конструкции, вес двигательной установки и вес части оборудования, которое необходимо для полета, независимо от его назначения. Это оборудование обычно называют несъемным, в отличие от другой части оборудования, которое включается в нагрузку. В величину G0 входят и веса баков, трубопроводов, электропроводки и т. п., т. е. всего, что относится к конструкции самолета и не предназначено для легкой съемки. В вес самолета входит, кроме того, вес топлива GT, который обычно выражают в виде доли от полного веса GT/G. Третью часть полетного веса составляет вес нагрузки Gнaгp, в который входят вес летчика, вес необходимого ему снаряжения, вес парашюта, оружия и боеприпасов. Вес нагрузки тоже удобно представить в виде доли от полного веса Gнaгp/G. Теперь выражение для перегрузки можно представить следующим образом: Pishnoff-130.gif Величина перегрузки определяется тремя основными факторами: 1) значением Ку=6,8(Кmax)1/3 или Ку=7,2(Кmax)1/3 для винта изменяемого шага; величина Ку связана с аэродинамическим качеством самолета; 2) значением величины Pishnoff-131.gif , которая определяет степень нагружения самолета топливом и полезной нагрузкой; если эта величина мала, то полет будет кратковременным, а вооружение самолета слабым; 3) значением параметра KG0= G0/(Nl)2/3, который имеет очень важное значение для характеристики не только маневренных самолетов, но и самолетов любого назначения. Величина Ky/KG0=ny0=Ymax/G дает соотношение максимальной подъемной силы и веса пустого самолета. Для получения самолета с высокими маневренными характеристиками необходимо уменьшать значение KG0, что может быть достигнуто уменьшением веса конструкции и применением более легких двигателей. У маневренного самолета конструкцию нельзя облегчать за счет уменьшения запаса прочности, хотя в истории самолетостроения и были отдельные примеры, когда маневренные самолеты были недостаточно прочными. Наиболее легкими являются двигатели воздушного охлаждения, и маневренные самолеты, как правило, снабжались такими двигателями. Относительный вес топлива не может быть очень малым, иначе время полета окажется незначительным. Если при состязаниях по высшему пилотажу можно иметь минимальный запас топлива, соответствующий выполняемой программе, то для самолета-истребителя запас топлива необходим не только для обеспечения достаточного времени нахождения над полем боя. Полное израсходование топлива в условиях воздушного боя может оказаться гибельным для летчика, поскольку самолет становится беспомощным. Запас топлива у маневренных истребителей лежит в пределах 10-14% взлетного веса. Увеличение аэродинамического качества хотя и способствует улучшению маневренности, но в слабой степени. Наконец, маневренность улучшается при уменьшении относительного веса нагрузки. Поскольку сама нагрузка может быть уменьшена только за счет уменьшения веса оружия, боеприпасов и оборудования, необходимых для ведения воздушного боя, то возможности здесь небольшие. Что касается относительного веса полезной нагрузки, то она будет убывать по мере увеличения веса самолета, а значит, и мощности двигателя. Поскольку в истории развития маневренных истребителей происходил неуклонный рост мощности двигателей и полетных весов, уменьшение относительного веса полезной нагрузки определяло рост максимальной перегрузки при маневре. Переход на винты изменяемого шага существенно повысил маневренные характеристики самолетов, особенно при полете на больших высотах. При винте фиксированного шага двигатель развивает полную мощность только при полете самолета на максимальной скорости на расчетной высоте. При уменьшении скорости и увеличении высоты винт оказывается "тяжел", т. е. число оборотов его уменьшается и соответственно уменьшается мощность двигателя. Своеобразный эффект дает применение высотных двигателей. На высотах от расчетной (где мощность двигателя максимальна) и выше маневренные свойства самолета значительно повышаются. Однако на малых высотах мощность двигателя оказывается пониженной (особенно при отсутствии многоскоростной передачи к нагнетателю) и маневренные свойства самолета ухудшаются. ОБЗОР ИСТОРИИ РАЗВИТИЯ МАНЕВРЕННЫХ ИСТРЕБИТЕЛЕЙ 1914-1920 гг. Выше мы изложили методику анализа маневренных характеристик самолетов. Ею мы воспользуемся и при обзоре истории развития маневренных самолетов. Рассмотрим самолеты периода первой мировой войны 1914-- 1919 гг. и периода между двумя мировыми войнами, т. е. 1919-- 1939 гг. В качестве объектов рассмотрения возьмем самолеты, которые, по мнению автора, наиболее полно характеризуют маневренное направление; по этим самолетам имеются достаточно полные сведения и они имели широкое распространение, т. е. являлись серийными. Наибольшее внимание будет уделено самолетам, которые применялись в старой русской армии и в Военно-Воздушных Силах Советской Армии. В таблицах 1-- 3 приведены характеристики 24-х самолетов; из них 15 -- с двигателями воздушного охлаждения и 9 -- с двигателями водяного охлаждения. 17 самолетов были на вооружении русской дореволюционной или советской авиации или же использовались как трофейные. Эти самолеты автору хорошо знакомы, многие из них он наблюдал в полете, изучал их конструкцию, участвовал в некоторых испытаниях и т. п. Маневренные самолеты строили конструкторы, которые считали высокую маневренность очень важным достоинством самолета-истребителя. Среди них особенно нужно отметить Николая Николаевича Поликарпова, который проявлял исключительную заботу об обеспечении маневренности самолетов своей конструкции. Из числа приведенных в таблицах самолетов, шесть -- его конструкции, и все они обладали наиболее высокими показателями по маневренности. Количественные характеристики, приведенные в таблице 1-- 3, показывают, что именно было достигнуто в отношении маневренности самолетов. Кроме размеров, площадей и весов, самолет характеризуется аэродинамической и силовой схемами, материалами и технологией изготовления деталей, наличием специальных устройств, агрегатов, оборудования, вооружения, пилотажной и контрольной аппаратуры и др. Важным фактором для характеристики самолета является схема обзора для летчика. При разработке новой конструкции ее автор руководствуется некоторым замыслом, который в ранние годы развития авиации зависел в значительной мере от интуиции. Впоследствии замысел новой конструкции стал все более определяться результатами специальных исследований. В данной работе мы не будем анализировать развитие самолетостроения в целом и ограничимся лишь рассмотрением развития маневренных истребителей. Начнем с общих пояснений к материалам, приведенным в таблицах 1-- 3. В графе 1 по вертикали дана мощность двигателя N на малой высоте; в случае, если двигатель высотный, в той же графе дана эквивалентная мощность, т. е. мощность, которую двигатель имел бы у земли, если бы его мощность на больших высотах экстраполировать на малые высоты по обычному закону зависимости мощности от высоты. Таблица 1 Самолеты-истребители 1914-- 1919 гг. с двигателями воздушного охлаждения
Самолет Год, страна N, л.с. l, м S, м2 G0, кГ G, кГ lэ /lэ (N lэ)2/3 KG0 KG Сх0 F0, м2 Kа Cyн Ky Y ny Vmax, км/час Сymax Vман, м/сек r, м t, сек Примечания
1 2 3 4 5 6 7 8 9 10 11 12 13 14 15 16 17 18 19 20 21 22
1 "Моран-Ж", моноплан 1913 г., Франция 80 9,2 15,2 350 500 9/5,3 80 4,4 6,25 0,085 1,0 6,8 1,15 12,8 1000 2,0 130 1,2 30 50 11 Был на вооружении русской авиации в 1914 -- 1915 гг., строился в России
2 "Фоккер E-II", моноплан 1916 г., Германия 100 10,2 17 400 610 10/5,8 100 4,0 6,1 0,085 1,10 7,0 1,20 13,0 1300 2,15 140 1,1 33 60 11 Был на вооружении в Германии в 1916 г.
3 "Ньюпор-11", полутороплан 1915 г., Франция 80 7,3 13,3 320 480 7,7/5,7 72 4,4 6,67 0,080 0,78 6,4 1,00 12,6 910 1,9 150 1,1 31 62 12 Был на вооружении в России в 1915-- 1916 гг.
4 "Ньюпор-17", полутороплан 1916 г., Франция 110 8,15 15 370 550 8,6/5,7 98 3,8 5,6 0,065 0,76 7,7 1,00 13,4 1320 2,4 168 1,1 36 60 11 Был на вооружении в России и строился в 1916-- 1920 гг.
5 Сопвнч "Кемел", биплан 1917 г., Aнглия 130 8,55 23 420 650 9,5/4,1 114 3,7 5,7 0,040 0,72 8,8 0,70 14,0 1600 2,45 180 1,0 33 52 10 --
6 Сопвич, триплан 1917 г., Англия 130 8,2 25 400 640 9,5/4,0 114 3,5 5,6 0,035 0,70 8,8 0,60 14,0 1600 2,5 180 1,0 32 48 9,5 Несколько образцов были использованы в России для тренировок в 1918 -- 1919 гг.
7 "Фоккер DR-1", триплан 1917 г., Германия 110 7,2 20 375 570 8,0/3,2 86 4,3 6,62 0,045 0,60 7,5 0,68 13,3 1140 2,0 175 1,3 26 42 10 --
8 Сопвпч "Снайп", биплан 1918 г., Англия 230 9,45 25 600 915 10,3/4,2 178 3,35 5,15 0,038 0,96 9,3 0,70 14,3 2500 2,7 200 1,0 40 66 10,5 Трофейные образцы использовались в советской авиации в 1919-- 1923 гг.
Таблица 2 Самолеты-истребители 1914-- 1920 гг. с двигателями жидкостного охлаждения
Самолет Год, страна N, л.с. l, м S, м2 G0, кГ G, кГ lэ /lэ (N lэ)2/3 KG0 KG Сх0 F0,м2 Kа Cyн Ky Y ny Vmax, км/час Сymax Vман, м/сек r, м t, сек Примечания
1 2 3 4 5 6 7 8 9 10 11 12 13 14 15 16 17 18 19 20 21 22
9 "Спад-VII", биплан 1916 г., Франция 130 7,8 18 545 770 8,5/4,0 117 4,6 6,6 0,06 0,80 7,5 0,9 13,3 1560 2,0 180 1,0 37 82 14,0 Строился в России в 1917-- 1920 гг.
10 "Альбатрос D-V", полутороплан 1917 г., Германия 160 9,0 21 680 910 9,8/4,5 135 5,0 6,75 0,06 0,95 7,9 0,9 13,5 1820 2,0 175 1,1 36 75 13,5 Основной истребитель Германии в 1917-- 1918 гг.
11 SE-5, биплан 1918 г., Англия 200 8,15 24 655 885 9,0/3,35 148 3,7 6,0 0,045 0,85 7,7 0,7 13,4 2000 2,3 200 1,0 36 67 11,5 Основной истребитель Англии в 1918-1919 гг.
12 "Фоккер D-VII", биплан 1918 г., Германия 220 9,0 22 700 900 10,0/4,5 170 4,1 5,3 0,05 0,85 8,5 0,85 13,8 2350 2,6 200 1,4 35 58 10,0 Был на вооружении Советской авиации в 1922 -- 1926 гг.
13 "Мартинсайд F-4", биплан 1919 г., Англия 300 9,8 28 820 1090 10,7/4,1 218 3,8 5,0 0,05 1,05 8,1 0,8 13,6 2970 2,75 210 1,0 41 68 10,5 Был на вооружении советской авиации в 1922 -- 1927 гг.
В графе 2 по вертикали дан габаритный размах крыла l; в случае биплана -- размах большего крыла, обычно верхнего; в графе 3 дана площадь крыла, или крыльев, S; если крыло притыкается к фюзеляжу, то принимается, что крыло как бы продолжается внутри фюзеляжа. В графе 4 приведен вес пустого самолета G0, т. е, без летчика, без топлива и съемного оборудования и вооружения; в графе 5 дан взлетный вес G, как он приводился в материалах, откуда были заимствованы эти данные. В графе 6 приведены эквивалентный размах крыла lэ и эффективное удлинение крыла lэ; величина lэ у монопланов принималась равной габаритному размаху или же из него вычиталась длина выдающихся кончиков крыла; для бипланов величина lэ определялась по формуле Pishnoff-135.gif где l -- размах большего крыла; l1 -- размах меньшего крыла; h -- расстояние между крыльями; эффективное удлинение крыла определялось по формуле lэ= lэ2/S. В графе 7 приведена характеристика, входящая в формулу для подъемной силы, в графе 8 -- характеристика веса пустого самолета и в графе 9 -- то же для взлетного веса; в графе 10 приведен коэффициент лобового сопротивления Сх0 при Су=0, полученный, как это было описано, по расчету для известной максимальной скорости. В графе 11 дана эквивалентная вредная площадь F0 для самолета: F0= Сх0S/1,28, в графе 12 -- максимальное аэродинамическое качество Ка, в графе 13 -- коэффициент подъемной силы Сун, соответствующий максимальному качеству, и в графе 14 -- величина Ку, равная 6,8(Ка)1/2 -- 7,2(Ка)1/2. В графе 15 дана максимальная подъемная сила Y при полете на малой высоте, а в случае высотного двигателя дано еще значение Yа соответствующее эквивалентной мощности высотного двигателя (см. табл. 3). Таблица 3 Самолеты-истребители 1923 -- 1938 гг.
Самолет Год, страна N, л.с. l, м S, м2 G0, кГ G, кГ lэ /lэ (Nlэ)2/3 KG0 KG Сх0 F0, м2 Kа Cyн Ky Y ny Vmax, км/час Сymax Vман, м/сек r, м t, сек Примечания
1 2 3 4 5 6 7 8 9 10 11 12 13 14 15 16 17 18 19 20 21 22
С двигателями воздушного охлаждения
14 Глостер "Гемкок", биплан 1925 г., Англия 420 9,1 27,0 880 1250 10/3,7 260 3,3 4,8 0,042 0,9 8,3 0,70 14 3000/- 2,85/- 250 1,0 46 80 10,5 --
15 "И-4", полутороплан 1927 г., СССР 420 11,4 24,0 920 1360 11,4/5,4 285 3,25 4,75 0,045 0,8 9,6 0,85 14,5 4150/- 3,0/- 260 1,2 48 82 10,5 Первый советский металлический истребитель
16 "И-5", биплан 1930 г., СССР 480 9,6 21,0 900 1300 10,4/5,1 290 3,1 4,48 0,042 0,7 9,7 0,80 14 4000/- 3.3/- 280 1,35 50 80 10 Состоял на вооружении ВВС СССР
17 "И-15", биплан 1934 г., СССР 720/1000 9,7 22,0 1170 1570 10,3/4,8 380 3,0 4,12 0,041 0,7 9,7 0,78 14,5 5600/6900 3,5/4,4 320 1,35 55 92 10 То же
18 "И-16", моноплан 1934 г., СССР 750/1070 9,0 14,5 1300 1680 9,0/5,6 360 3,6 4,7 0,035 0,4 11,0 0,70 15 5300/6800 3,15/4,0 400 1,3 67 155 15 "
19 "И-16", моноплан 1938 г., СССР 920/1500 9,0 14,5 1450 1830 9,0/5,6 410 3,5 4,45 0,035 0,4 11,0 0,70 15 6500/8800 3,5/4,7 420 1,3 74 170 14,5 "
20 "И-153", биплан 1938 г., СССР 920/1500 10,0 22,0 1440 1850 10,5/5,0 450 3,15 4,1 0,030 0,52 11,0 0,70 15 7300/10000 4,0/5,3 385 1,35 62 105 10 "
С двигателями жидкостного охлаждения
21 "Фоккер D-11", полутороплан 1924 г., Голландия 300 11,4 21,5 920 1320 11,4/6,0 230 4,1 5,7 0,056 0,95 9,2 1,00 14 3200/- 2,5/- 220 1,4 41 75 11,5 Состоял на вооружении ВВС СССР в 1925-1930 гг.
22 "И-3", биплан 1928 г., СССР 500/600 11,0 27,0 1420 1660 11,8/5,1 320 4,3 5,2 0,042 0,9 9,6 0,80 14,5 4700/- 2,8/3,2 280 0,35 46 83 11,5 То же
23 Хаукер "Фьюри", биплан 1934 г., Англия 600/880 9,2 24,5 1230 1640 10,0/4,1 330 3,7 5,0 0,040 0,75 9,0 0,70 14 4700/6000 2,8/3,6 300 1,2 50 95 12 --
24 "Як-1М", моноплан 1941 г., СССР 1200/2000 9,2 14,8 2100 2650 9,2/5,7 490 4,2 5,4 0,022 0,25 13,0 0,60 17 8300/11500 3,1/4,3 570 1,0 95 320 21 Состоял на вооружении ВВС СССР
В графе 16 приведены значения коэффициента перегрузки при выполнении маневра на мощности двигателя, равной его мощности у земли, и на эквивалентной мощности. В графе 17 дана максимальная скорость на малой высоте, а в графе 18 -- значение коэффициента подъемной силы при маневре; оно принималось равным Суман = 2Сун но не более 0,85 Суmах. В графе 19 дана скорость при маневре Vман, определяемая по формуле Pishnoff-136.gif в графе 20 -- радиус виража r, определяемый по формуле Pishnoff-137.gif в графе 21 - время совершения круга при вираже Pishnoff-138.gif Первым истребителем и первым маневренным истребителем следует считать французский самолет "Моран-Ж". На этом самолете знаменитый русский летчик П. Н. Нестеров выполнил первый таран в воздушном бою; на нем впервые устанавливались пулеметы для стрельбы через плоскость вращения винта. Однако самолет "Моран-Ж" как истребитель не получил распространения. Причиной этого была его относительно небольшая скорость -- 130 км/час; перегрузка при маневре на этом самолете на малой высоте была равна приблизительно 2, а на высоте 2000 м лишь около 1,5; наконец, условия обзора для летчика были плохими. Подробные характеристики этого самолета были даны в статье "На чем летал П. Н. Нестеров". Как истребитель более успешным был самолет "Фоккер Е-II", построенный в Германии и являвшийся в сущности модификацией самолета "Моран-Ж" (рис. 2, а). В самолет были внесены некоторые улучшения: была повышена мощность двигателя до 100 л. с., а затем и до 160 л. с.; крыло было несколько опущено и благодаря этому улучшен обзор для летчика; коэффициент перегрузки повысился, и самолет отличался хорошей маневренностью. Однако и самолет "Фоккер Е-II" не долго состоял на вооружении. Следует упомянуть, что самолет "Моран" имел модификацию с более мощным двигателем и улучшенной аэродинамикой, но и эта модификация применялась мало. Еще до войны 1914 г. проводились состязания в полетах на скорость на гидросамолетах. В 1914 г. на этих состязаниях победу одержал маленький самолет-биплан английской фирмы Сопвич; при том же двигателе, который был установлен на самолете "Моран-Ж", -- мощностью 80 л. с., -- он развил скорость на 20 км/час больше, несмотря на свои громоздкие поплавки. У самолета "Моран-Ж" источником большого сопротивления являлись тросовые растяжки, идущие к крыльям; общая протяженность растяжек была равна около 44 м и площадь сопротивления составляла около 0,3 м2. Pishnoff-139.gifPishnoff-140.gif Pishnoff-141.gif Pishnoff-142.gif Рис. 2 Вид сбоку типичных истребителей времен первой мировой войны: а -- "Фоккер Е II", б -- "Ньюпор-17", в -- Сопвич "Кемел"; г -- Сопвич, триплан У маленького биплана фирмы Сопвич общая длина растяжек оказалась вдвое меньше, сами растяжки были тоньше, и экономия в сопротивлении составила около 20-25%. Начиная с этого времени, т. е. с 1914 г., маленький биплан стал классической схемой маневренного истребителя, которая просуществовала около 20 лет и даже в настоящее время частично сохранилась для акробатических самолетов. Благодаря уменьшению сопротивления у бипланов их максимальная скорость оказалась выше примерно на 10%, а после улучшения носовой части фюзеляжа и перехода на ленточные растяжки -- на 20%, при той же мощности двигателя. Только с развитием моноплана с крылом без растяжек и с убирающимся шасси преимущество малыми бипланами было утрачено. Переход на бипланы позволил несколько уменьшить размах крыльев -- с 9-10 м до 7,5-8,5 м. Каждое крыло стало значительно уже, и это улучшило обзор; с уменьшением размаха повысилась угловая скорость накренения -- благодаря уменьшению аэродинамического демпфирующего момента крыльев. Маленькие бипланы оказались очень подвижными, их преимущества как истребителей были совершенно явными. В 1915 г. во Франции выпускаются одноместные истребители-полуторопланы "Ньюпор-10" и "Ньюпор-11"; они поступили и в русскую армию и строились затем в России -- в основном на заводе "Дукс" в Москве. За его миниатюрные размеры и легкость самолет "Ньюпор-11" называли "Бебе". В дальнейшем в России и после Октябрьской революции еще оставались самолеты "Ньюпор-17", -21, -23, -24 и -24 бис; они отличались друг от друга сравнительно немного. Самолет "Ньюпор-17" имел двигатель мощностью 110 л. с. и размеры его были немногим больше, чем у самолета "Ньюпор-11"; "Ньюпор-23" имел двигатель мощностью 120 л. с.; самолет "24 бис" отличался от самолета "23" тем, что у него было несколько скруглено сечение фюзеляжа. Обращаясь к схеме самолетов "Ньюпор" (см. рис. 2, б), прежде всего следует отметить прекрасный обзор для летчика: верхнее крыло -- более широкое, находится почти на уровне глаз; нижнее крыло имеет ширину лишь 0,7 м и расположено прямо снизу, мало закрывая землю. Типична стойка в форме буквы "V". В русской авиации времен первой мировой войны самолет "Ньюпор" был основным истребителем; таковым он оставался и в период гражданской войны. На этом самолете летчики прекрасно выполняли высший пилотаж и успешно вели воздушные бои; конструкция его была проста -- в основном дерево, полотно и тросовые растяжки; металлическими были только шасси и каркас оперения из тонких труб. Однако у самолета "Ньюпор" были и серьезные недостатки. Это, прежде всего, малый запас прочности и низкая жесткость, которая была обусловлена схемой с узким однолонжеронным нижним крылом. Такая схема слабо противостояла крутящим моментам. На самолетах "Ньюпор", особенно когда они поизносились, было много случаев поломки в воздухе. Другим большим недостатком самолета был его резкий срыв в штопор. Из табл. 1 видно, что при полете самолета "Ньюпор" на максимальном качестве Сун=l,0, а Суmах был у него не выше 1,3. При полете с максимальной подъемной силой на маневре самолет был очень близок к срыву и при появлении срыва сразу начинал быстро вращаться в штопоре. Если при этом был запас высоты, то из штопора можно было быстро выйти. Однако были часты сваливания в штопор на взлете, если летчик начинал круто набирать высоту с недостаточной скоростью или если вдруг падала тяга винта. Много летчиков погибло или было тяжело ранено при сваливаниях самолета в штопор на малой высоте. "Вертлявость" самолета, особенно на больших углах атаки, использовалась опытными летчиками для эффектного пилотажа и в воздушном бою. К 1918 г. фирма "Ньюпор" отказалась от полуторопланов и перешла на "чистые" бипланы с равными по площади крыльями. Бипланы с равными по площади крыльями широко применялись на английских истребителях периода первой мировой войны. В 1917 г. английской фирмой Сопвич был выпущен один из лучших истребителей того времени "Кемел" ("Верблюд") с ротативным двигателем мощностью 130 л. с. (рис. 2, в). Характеристики этого самолета приведены в табл. 1; как видно, у самолета "Кемел" при маневре на малой высоте перегрузка nу доходила почти до 2,5 и время виража составляло около 10 сек. Высота потолка у самолета "Кемел" достигала 7 км. Следует указать, что высота потолка является косвенным свидетельством высокой маневренности. При полете на потолке максимальная подъемная сила равна весу и nу=1; по мере уменьшения высоты значение nу будет расти соответственно росту величины Y/Yн. На рис. 3 показано относительное изменение величины Y/Y0 с высотой: эта зависимость подсчитана по формуле Image102.gif Изменение мощности двигателей с высотой зависит от изменения числа оборотов, от изменения атмосферного давления и температуры и от величины механических потерь в двигателе. При винте фиксированного шага с поднятием на высоту число оборотов двигателя понижается и это приводит к дополнительному уменьшению мощности. У ротативных двигателей механические потери выше и поэтому с поднятием на высоту мощность убывает более значительно. На рис. 3 даны три кривые, для которых были подобраны следующие формулы: 1) для ротативного двигателя с винтом фиксированного шага Pishnoff-144.gif 2) для обычного поршневого двигателя с винтом фиксированного шага Pishnoff-145.gif 3) для обычного поршневого двигателя с винтом изменяемого шага, сохраняющего постоянную скорость вращения независимо от высоты и скорости полета, Pishnoff-147.gif Pishnoff-146.gif Рис. 3. График изменения подъемной силы с высотой: 1 -- самолет с ротативным двигателем и винтом фиксированного шага; 2 -- самолет с обычным поршневым двигателем и винтом фиксированного шага; 3 -- самолет с обычным поршневым двигателем и винтом изменяемого шага с постоянной скоростью вращения Важным достоинством бипланов с равными по площади крыльями было относительно малое значение Сун и при полете на максимальном качестве у них оставался еще большой запас угла атаки до срыва обтекания. В 1917 г. фирма Сопвич выпустила истребитель-триплан, т. е. довольно необычной схемы, которая, хотя и применялась ранее, но успеха не давала (см. рис. 2, г). Как видно из табл. 1, самолет Сопвич, триплан, имел почти такие же характеристики по размаху и площади, что и биплан "Кемел"; летные характеристики его тоже почти такие же. Некоторое число трипланов Сопвич попало в Россию и затем в ВВС Советской Армии, где они использовались в основном для тренировок в школах. Пример с трипланом Сопвич наглядно показывал, что дело не в схеме самолета, а в том, чтобы иметь достаточно большой эффективный размах крыльев и не очень большую величину Сун. Грубую ошибку делали некоторые конструкторы, которые пытались применить трипланную схему, уменьшая размах крыльев. Недостатком триплана Сопвич был, видимо, худший обзор для летчика и недостаточная жесткость высокой схемы из трех крыльев. Этот самолет был одним из немногих удачных трипланов. Самолетов "Кемел" в России не было, если не считать единичных экземпляров и трофеев гражданской войны. В 1917 г. в Россию было прислано из Англии некоторое количество самолетов "Виккерс F.В-19". Они в общем напоминали самолеты "Кемел", но имели меньший размах крыльев -- всего лишь 7,35 м -- и относительно широкие крылья без выноса верхнего крыла вперед, столь типичного для фюзеляжных бипланов. На малых высотах и без вооружения самолет фирмы Виккерс был очень маневренным. Как боевой самолет он оказался неудачным вследствие того, что у него был плохой обзор для летчика, который находился под крылом в очень широком фюзеляже. Таким образом, для повышения маневренности самолетов изыскания в области их аэродинамических схем не дали большого эффекта. Более существенными факторами были конструктивная целесообразность и обеспечение обзора для летчика. Лучшей схемой оказалась бипланная, с выносом верхнего крыла вперед; впоследствии было выяснено, что нижнее крыло целесообразно немного уменьшать. Однако решающим фактором было повышение мощности двигателей воздушного охлаждения. Если в начале первой мировой войны применялись мощности порядка 80 л. с., а в середине ее -- мощности порядка 120-130 л.с., то к концу войны появились маневренные истребители с ротативными двигателями мощностью 220-230 л. с. Соответственно, если в начале войны маневренные перегрузки были около 2, в середине ее -- 2,4-2,5, то к концу войны они достигали значений 2,7-2,8. Среди последних типов самолетов-бипланов в Советском Союзе было несколько трофейных экземпляров английского истребителя Сопвич "Снайп". У этого самолета (кроме того, что на нем был установлен более мощный двигатель) был увеличен размах крыльев, а бипланная коробка была снабжена двумя парами стоек, что увеличивало сопротивление, но в то же время позволяло несколько уменьшить вес конструкции. Малый вес конструкции этого самолета характеризуется очень низким значением KG0 (K G0=3,35) -- наиболее низким среди всех самолетов времен первой мировой войны. В Германии после уже описанного моноплана фирмы Фоккер появились маневренные истребители-бипланы, а в 1917 г. был построен и получил широкое применение самолет-триплан этой фирмы. Это был сравнительно небольшой самолет, что конечно привело к уменьшению его подъемной силы, которая была равна около 1150 кГ вместо 1600 кГ у триплана фирмы Сопвич, однако и вес триплана фирмы Фоккер был меньше. По расчету (см. табл. 1) перегрузка при маневре у триплана "Фоккер DR-1" была сравнительно невелика (nу = 2). Малый размах крыльев приводил к увеличению скорости накренения. Однако основное достоинство триплана "Фоккер DR-1" заключалось в следующем. Это был, видимо, первый самолет со свободнонесущими крыльями, хотя и трипланной схемы. Крылья были соединены стойкой, но растяжки отсутствовали и профиль крыла был достаточно толстым. У самолетов фирмы Сопвич крылья имели тонкий профиль с малой кривизной и поэтому значение Су при маневре едва ли могло превышать единицу. У триплана "Фоккер DR-1" значение Су при маневре было не менее 1,3-1,4, и в результате радиус виража у него был меньше, чем у какого-либо другого истребителя того времени. Для сравнения рассмотрим характеристики истребителей с двигателями жидкостного охлаждения, которые, как правило, были более быстроходными, но менее маневренными, чем истребители с двигателями воздушного охлаждения. Наиболее типичными из них были французские истребители "Спад" модели VII и XIII. Этот самолет представлял собой небольшой биплан, нижнее крыло которого было немного меньше верхнего. Наиболее примечательным свойством этого самолета являлась компактность расположения грузов -- двигателя, топлива, оружия и летчика. Стремление к компактности расположения грузов с целью уменьшения момента инерции проявлялось у конструкторов многих самолетов того времени. Только значительно позднее, после развития теории динамики вращательных движений, выяснилось, что уменьшение моментов инерции не имеет большого значения. Несмотря на то, что самолет имел небольшой размах крыльев, крылья у него были соединены с каждой стороны двумя парами стоек. Это было сделано для обеспечения большей жесткости тонких крыльев в условиях длительного пикирования. Самолет "Спад-VII" с двигателем Испано-Суиза мощностью 150 л. с. строился в России в 1917-- 1918 гг., однако построено их было немного -- в основном из-за недостатка двигателей. Его маневренные характеристики были значительно хуже, чем у самолетов "Ньюпор", но скорость была выше, чем у них, особенно при крутом снижении. Самолет "Спад-XIII", на котором был установлен тот же двигатель, но повышенной мощности, был наиболее быстроходным истребителем в период 1917-- 1918 гг. На этом самолете был впервые применен "двигатель-пушка", т. е. пушка у него была прикреплена к двигателю и стреляла через полый вал редуктора, на котором был установлен винт. Эта схема вооружения широко использовалась во время второй мировой войны. Автор много раз наблюдал полеты самолета "Спад-VII", но никогда не видел, чтобы на этом самолете выполнялся сложный пилотаж. В Германии и в Англии в период 1917-- 1918 гг. строился целый ряд истребителей с двигателями водяного охлаждения; среди них наиболее известен немецкий самолет "Альбатрос D-V" с двигателем мощностью 160 л. с. и английский самолет "SE-5" с двигателем мощностью 200 л. с. В 1918 г. в Германии поступил на вооружение очень интересный самолет-истребитель, биплан "Фоккер D-VII". Его особенностью были свободнонесущие крылья толстого профиля с большой кривизной средней линии. Крылья соединялись стойками, что придавало конструкции большую жесткость на кручение, так как естественная жесткость крыльев на кручение при полотняной обтяжке была недостаточна. На самолете был установлен двигатель БМВ водяного охлаждения мощностью 185-220 л. с. Самой главной особенностью самолета было применение профиля крыла с очень высокой несущей способностью. На рис. 4 дано сравнение зависимостей Су по a для английского профиля "RAF-15" и профиля крыла самолета "Фоккер D-VII". Как видно, у последнего срыв не только происходит на больших углах атаки, но и протекает более плавно. Особенности профиля крыла самолета "Фоккер D-VII" очень убедительно проявлялись в практике полетов. Неожиданные явления потери управляемости и сваливания на крыло, характерные для английских и французских истребителей того времени, не имели места у самолета "Фоккер D-VII". Это не только снизило аварийность, но и позволяло при маневрировании спокойно доводить самолет до больших значений Су, уменьшая тем самым радиус виража. После окончания первой мировой войны фирма "Фоккер" стала строить свои самолеты в Голландии. В 1922 г. Советский Союз закупил у нее партию самолетов "Фоккер D-VII", которыми были вооружены несколько авиационных отрядов. В эксплуатации самолеты показали себя с хорошей стороны. Pishnoff-148.gif Pishnoff-149.gif Рис. 4. Сравнительные графики коэффициентов подъемной силы тонкого профиля RAF-15 и толстого профиля крыла самолета "Фоккер D-VII" В конце первой мировой войны в Германии фирмой Юнкере был построен истребитель-моноплан со свободнонесущим крылом металлической конструкции. Крыло было расположено в нижней части фюзеляжа и поэтому обзор для летчика был несравненно лучше, чем у самолета "Моран". Этот самолет по своей схеме послужил прообразом более поздних типов истребителей и во многом определил дальнейшее направление их развития, которое стало доминирующим в 1934-- 1935 гг. Заканчивая рассмотрение развития маневренных истребителей в период первой мировой войны, отметим, что в России -- на Русско-балтийском заводе и некоторыми конструкторами в других местах -- разрабатывались истребители различных типов, однако они не поступали на вооружение. Следует остановиться на истребителе С-20, сконструированном под руководством известного конструктора И. И. Сикорского. Он представлял собой нечто среднее между самолетами "Ньюпор" и "Кемел", а именно, нижнее крыло у него было более узким, но имело два лонжерона, что обеспечивало достаточную жесткость конструкции. Этот самолет, вероятно, не уступал по характеристикам лучшим истребителям того времени. Конструктором и владельцем небольшого заводика в Москве итальянцем Ф. Э. Моска был разработан истребитель "Моска бис" с двигателем "Рон" мощностью 80 л. с. Это был моноплан, его крыло было несколько приподнято над фюзеляжем и разрезано так, что летчик мог смотреть поверх крыла и под крыло. Самолет "Моска бис" был построен небольшой серией, но на фронт не поступил, поскольку он не мог конкурировать с истребителями противника. В 1920-- 1921 гг. самолеты "Моска бис" использовались в Московской авиационной школе. Крыло небольшого размаха, да еще с вырезами в центре, очень ухудшало его аэродинамическое качество, и самолетом было сложно управлять при посадке. Как видно из изложенного, период 1915-- 1920 гг. характерен применением самолетов разнообразных аэродинамических схем. Кроме описанных выше, были и еще более необычные схемы, которые, однако, оказались нецелесообразными. Так, встречались схемы четырехпланные, трипланы с различным расположением крыльев, бипланы, у которых верхнее крыло имело большой вырез для улучшения обзора или даже было совсем разрезано на две части. Подобные вырезы, и тем более разрезы, приводили к значительному ухудшению аэродинамического качества и тем самым к снижению максимальной подъемной силы. РАЗВИТИЕ МАНЕВРЕННЫХ ИСТРЕБИТЕЛЕЙ В ПЕРИОД 1920-- 1932 гг. После окончания первой мировой войны в развитии маневренных истребителей наступила некоторая пауза. Это объясняется тем, что ротативные двигатели не имели перспектив развития по мощности, их надежность была низка, а расходы топлива и особенно масла были велики. После того, как были выпущены английские ротативные двигатели "В. R" мощностью 220 л. с., конструирование ротативных двигателей было прекращено. Двигатели водяного охлаждения продолжали развиваться по мощности без существенного увеличения габаритных размеров. Так, появились двигатели Испано-Суиза мощностью 300 л. с., американский двигатель "Либерти" мощностью 400 л. с. и ряд других. В 1919 г. в Англии был выпущен истребитель "Мартинсайд F-4" с двигателем Испано-Суиза мощностью 300 л. с.; характеристики этого самолета приведены в табл. 2. Как видно, по своим маневренным характеристикам он не уступал лучшим маневренным истребителям конца первой мировой войны. Партия самолетов Мартинсайд была закуплена Советским Союзом в 1922 г. и ими было вооружено несколько авиационных отрядов. Самолет был прост в пилотировании, маневрен, но для своего времени недостаточно быстроходен. К 1924-- 1925 гг. появились двигатели воздушного охлаждения мощностью около 400 л. с. с звездообразным расположением цилиндров, но уже не ротативные. Они были значительно легче двигателей водяного охлаждения, хотя лобовое сопротивление ребристых цилиндров было велико. Типичным представителем подобных двигателей был английский двигатель "Юпитер" фирмы Бристоль. Это направление развития авиационных двигателей оказалось очень плодотворным и его придерживались многие фирмы вплоть до 1944-- 1945 гг., когда на смену поршневым пришли реактивные двигатели. Звездообразные двигатели воздушного охлаждения находятся в эксплуатации на транспортных и спортивных самолетах и вертолетах и в настоящее время. Двигатель английской фирмы, естественно, был установлен вначале на английском самолете. В табл. 3 приведены характеристики самолета "Гемкок" фирмы Глостер. Это был обычный биплан, подобный тем, которые строились в период первой мировой войны, но на нем был установлен двигатель мощностью 420 л. с. Коэффициент перегрузки при маневре достигал у него величины 2,85. Советские конструкторы Н. Н. Поликарпов и Д. П. Григорович, которые начали развертывать свою работу в 1920-- 1921 гг., могли ориентироваться только на двигатель М-5 (т. е. "Либерти"), который не был предназначен для истребителей. Тем не менее, в 1923 г. Н. Н. Поликарпов выпускает свой первый истребитель моноплан "И. Л.", подобный самолету "Юнкере", но, в отличие от него, деревянной конструкции, поскольку отечественного дуралюмина в то время еще не было. Несколько позже Д. П. Григорович выпускает истребитель-биплан "И-2" с тем же двигателем М-5; этот самолет строился серийно и был на вооружении некоторых авиаотрядов. Затем самолет "И-2" был несколько улучшен и стал называться "И-2 бис". Самолет "И. Л." Н. Н. Поликарпова был построен в нескольких экземплярах, но затем возникли трудности с выводом его из штопора; тогда Н. Н. Поликарпов на некоторое время вернулся к бипланам. Основным назначением истребителя является борьба с разведчиками и бомбардировщиками противника. Преимущество в скорости над этими самолетами для истребителей является совершенно необходимым. Поэтому конструкторы истребителей не могли чрезмерно увлекаться улучшением их маневренных свойств. В 1926 г. автор несколько месяцев работал в конструкторском бюро Н. Н. Поликарпова, где занимался вопросами аэродинамики. Н. Н. Поликарпов уделял большое внимание вопросам маневренности, однако, в то время он поставил перед собой основную задачу -- повысить скорость, и приступил к проектированию истребителя, который был выпущен в 1928 г. под маркой "И-3". Это был биплан с уменьшенным нижним крылом, с двигателем водяного охлаждения БМВ-6 мощностью около 500 л. с. Этот самолет имел очень хорошие аэродинамические формы; его максимальная скорость достигала 280 км/час, а коэффициент перегрузки при маневре был довольно высок и составлял около 2,8. Конструкторское бюро А. Н. Туполева к 1926 г. создало уже несколько удачных самолетов металлической конструкции -- разведчик "Р-3" ("АНТ-3") и двухмоторный бомбардировщик "ТБ-1" ("АНТ-4") -- и решило попробовать свои силы в создании истребителя. В 1927 г. был выпущен истребитель "И-4" ("АНТ-5") металлической конструкции, который следует именовать монопланом, так как нижнее крыло у него было очень небольшим, а впоследствии вообще было снято. На этом самолете был установлен двигатель воздушного охлаждения мощностью 420 л. с., и это позволило ему сочетать скорость 260 км/час с маневренной перегрузкой, равной 3,0, -- наиболее высокой к тому времени. Самолет "И-4" являлся очень маневренной и прочной машиной; он состоял на вооружении советской авиации, однако, недостаточное производство дуралюмина в то время ограничило производство самолетов. Тогда группе конструкторов, в которую входили Н. Н. Поликарпов, Д. П. Григорович, Б. Ф. Гончаров и другие, было поручено сконструировать еще более маневренный самолет, но деревянной конструкции, с звездообразным двигателем воздушного охлаждения мощностью 480 л. с. Эта задача была быстро и успешно выполнена, и в 1930 г. появился самолет "И-5", который в течение ряда лет являлся наиболее маневренным самолетом и пользовался любовью летчиков. Как видно из табл. 3, коэффициент перегрузки при маневре ny у самолета "И-5" достигал значения 3,3, а характеристика веса конструкции была наименьшей из тех значений, которые встречались в то время в самолетостроении: КG0=3,1, или, иначе говоря, вес пустого самолета составлял только 21% от величины максимальной подъемной силы. Самолет "И-5" успешно демонстрировал свое превосходство в сравнительных "воздушных боях" с образцами лучших зарубежных истребителей. РАЗВИТИЕ МАНЕВРЕННЫХ ИСТРЕБИТЕЛЕЙ В ПЕРИОД 1932-- 1940 гг. В начале тридцатых годов в самолетостроении начался поворот к всемерному повышению скоростных и высотных характеристик. Основными средствами увеличения скорости были уменьшение величины вредной площади F0 и повышение отношения мощности двигателей к относительной плотности воздуха. Уменьшение величины вредной площади достигалось совместным использованием ряда мероприятий, каждое из которых, взятое в отдельности, казалось бы, давало сравнительно небольшой эффект. Так, если взять самолет грубой аэродинамической схемы, например, истребитель-биплан, имеющий F0, равную около 0,8 м, то установка убирающегося шасси у этого самолета дала бы слабый эффект и не окупила бы конструктивных усложнений. Одним из крупных источников сопротивления самолета является двигатель воздушного охлаждения или радиатор двигателя водяного охлаждения. И ребристый двигатель, и радиатор являются такими телами, которые имеют высокий коэффициент сопротивления. Борьба за понижение сопротивления деталей, отводящих тепло от двигателя, велась на всем протяжении истории развития самолетов с поршневыми двигателями. Однако наиболее эффективные результаты были получены только в период 1933-- 1943 гг., когда детали, отводящие тепло, -- радиаторы и ребристые цилиндры -- были заключены в специальные каналы, скорость потока в которых была значительно ниже скорости основного воздушного потока. Это были кольцевые капоты, прикрывающие звездообразные двигатели, в которых применялось регулирование скорости протекающего потока, или воздушные туннели, в которых помещались ребристые цилиндры двигателей воздушного охлаждения с рядным расположением цилиндров, или радиаторы. Вначале эти туннели представляли собой наружные надстройки, а затем их стали все больше и больше убирать внутрь фюзеляжа или крыльев. Если взять, например, самолет "Як-3" (1943 г.), то о наличии у него внутренних туннелей можно было судить лишь по небольшим воздухозаборникам. С появлением турбореактивных двигателей необходимость в системах охлаждения почти исчезла, так как воздух, служащий для понижения температуры в камере сгорания, проходит через основной канал двигателя, а его масса используется для повышения реактивного эффекта двигателя. Еще одним крупным источником сопротивления самолетов являлась открытая кабина экипажа, защищенная только спереди козырьком более или менее грубой формы. Обтекание козырька и выреза в фюзеляже приводило к сильной турбулизации потока и увлечению некоторой массы воздуха вслед за самолетом. Это увлечение и является источником сопротивления. Для его ликвидации стали применять закрытые кабины, вначале довольно грубые по форме, а затем все более обтекаемые. После того как убрано шасси, снижено сопротивление системы охлаждения, сделана обтекаемая кабина, начинает доминировать сопротивление трения, обусловленное большими поверхностями крыльев и их недостаточной гладкостью. Поэтому следующим мероприятием было уменьшение площади крыльев путем перехода от бипланов к монопланам, или вернее, увеличение удельной нагрузки на крыло G/S. Однако размах крыльев при этом не должен быть уменьшен во избежание уменьшения подъемной силы. Практически это привело к сохранению размаха крыльев при уменьшении их площади S, что дало увеличение их удлинения l=12/S. Переход к свободно несущим монопланам освободил самолеты от сопротивления стоек и расчалок. Проблема гладкости обшивки встала особенно остро для крыльев с металлической обшивкой. Вначале отказались от гофрированной обшивки и перешли на гладкую и более толстую обшивку. Затем перешли на заклепки с потайными головками, что можно было сделать лишь при еще более значительных толщинах обшивки и, наконец, стали применять такую технологию производства и обработки поверхности крыльев, которая обеспечивала удовлетворительную их гладкость. Оптимальная -- "зеркальная" гладкость требовала значительного усложнения технологии и не нашла широкого применения. Переход на повышенную удельную нагрузку на крыло для истребителей -- с 40-60 кГ/м2 до 100-150 кГ/м2 -- потребовал разработки и применения средств механизации крыльев с целью увеличения их Cymax. Это было достигнуто применением закрылков, щитков, предкрылков и различных в разных сечениях профилей крыльев. Естественно, что наибольший успех имели те мероприятия, которые давали полезный эффект в разных отношениях или, во всяком случае, не имели серьезных отрицательных свойств. На рис. 5 приведен график изменения значений F0 для истребителей по годам. В период первой мировой войны вначале наблюдалось некоторое уменьшение вредной площади с 1 м2 до 0,7-0,8 м2, достигнутое благодаря некоторым аэродинамическим улучшениям; однако к концу войны вместе с резким увеличением мощностей двигателей увеличилось и значение F0. В период 1920-- 1930 гг. наблюдалось небольшое уменьшение F0, а после 1934 г. его значение снизилось более чем в два раза, и для монопланов периода второй мировой войны было характерно значение F0, равное 0,35-0,3. Как мы показали, уменьшение F0 слабо увеличивает максимальную подъемную силу; так, если F0 будет уменьшено в три раза, то подъемная сила увеличится только на 20%. Pishnoff-150.gif Рис. 5. График изменения приведенной вредной площади F0 маневренных истребителей по годам Для увеличения максимальной перегрузки при маневре важнейшее значение имело применение высотных двигателей. Принцип работы высотных двигателей состоит в следующем. Вес двигателя определяется его максимальной мощностью и схемой конструкции. Основную долю веса составляют система сжатия и расширения газов и система передачи энергии на винт. У обычного невысотного двигателя расчетным по прочности и весу параметром является работа на малой высоте, т. е. при максимальной плотности воздуха. По мере подъема на высоту двигатель все более и более разгружается и, таким образом, оказывается излишне прочным и излишне тяжелым для этих высот. Проще всего сделать двигатель высотным, т. е. приспособленным для работы на желаемой высоте, если рассчитать его размеры и прочность по условиям работы на расчетной высоте, а на меньших высотах не допускать работы на полной мощности путем ограничения подачи топлива. Такой двигатель называется переразмеренным, и при определенном весе на расчетной высоте он окажется более мощным, чем невысотный двигатель. Поскольку увеличение размеров двигателей для самолетов является нежелательным, то для увеличения мощности стали применять повышение числа оборотов двигателя и предварительное сжатие воздуха или рабочей смеси перед подачей в цилиндр. Реализация этих мероприятий происходила постепенно по мере улучшения конструкционных материалов, создания легких компрессоров для предварительного сжатия и разработки топлив, которые давали сгорание при повышенном давлении без явления детонации. Наиболее эффективным средством предварительного сжатия смеси оказался центробежный нагнетатель. Он и нашел самое широкое применение в период 1935-- 1945 гг. Его основное преимущество заключается в небольшом весе, а основной недостаток -- в излишнем нагревании смеси, в связи с чем понижается ее плотность. При работе на малой высоте, когда эффект сжатия не используется, мощность двигателя оказывается пониженной как вследствие затраты части мощности на вращение нагнетателя, так и в результате ненужного нагревания смеси. При большой высотности двигателя падение его мощности на малых высотах приводило к существенному ухудшению летных характеристик самолета на этих высотах, и особенно его маневренности. Для устранения этого недостатка были сконструированы устройства для изменения передаточного числа привода центробежного нагнетателя. Другим недостатком двигателя с нагнетателем было ухудшение экономичности, т. е. повышение удельного расхода двигателя. Причина этого заключается в том, что если сжатие рабочего тела происходит дважды -- в нагнетателе и в цилиндре, то расширение его происходит только в цилиндре, т. е. происходит как бы недорасширение рабочего тела, и выхлопные газы выбрасываются в атмосферу еще с большим запасом энергии. Этот недостаток можно устранить, если подавать выхлопные газы на турбину, а с турбины передавать мощность через специальный редуктор на вал двигателя. Такая система применялась на поршневых двигателях во второй половине сороковых годов, однако с появлением турбовинтовых двигателей эта система отпала. Значительно большее применение нашла несколько иная система: мощность, которую получала турбина от выхлопных газов, подавалась на привод нагнетателя, и двигатель освобождался таким образом от дополнительных затрат мощности на вращение нагнетателя. Достоинство подобных турбокомпрессорных агрегатов заключалось в основном в обеспечении ими большой высотности двигателя и применялись они поэтому на специальных высотных самолетах -- рекордных или военных разведчиках и истребителях. Для сравнения маневренных характеристик самолетов с невысотными и высотными двигателями необходимо принять некоторую систему сравнения. Очевидно, что на малой высоте самолет с невысотным двигателем будет более маневренным. На больших высотах, наоборот, более маневренным будет самолет с высотным двигателем. Однако высотности бывают разные и поэтому трудно выбрать высоту для сравнения. Можно производить сравнение по максимальным перегрузкам, независимо от высоты. Можно провести и такое условное сравнение: зная мощность высотного двигателя Np на расчетной высоте, находим затем его мощность на малой высоте Nэ, как если бы он был невысотным, или, иначе говоря, продолжаем его характеристику мощности по высотам до высот, меньших расчетной, вплоть до уровня земли. По этой мощности находим перегрузку nуэ и для самолетов с высотными двигателями. Следует еще указать, что высотность двигателей зависит также и от скорости полета, если заборник воздуха поставлен против потока и в нем используется сжатие от скоростного напора. Перейдем к обзору маневренных самолетов периода 1932-- 1938 гг. Основные характеристики рассмотренных самолетов даны в табл. 3. Поскольку они имели высотные двигатели с винтами изменяемого шага, значения Y и nу даны для мощностей Nр и Nэ. Характеристики виражей приведены для малых высот, но при условии, что перегрузка соответствует мощности на расчетной высоте. На самом деле мощность у земли несколько меньше, чем на расчетной высоте, но зато плотность воздуха выше, и поэтому в области высот от земли до расчетной подъемная сила, а следовательно, и перегрузка примерно постоянны. Самыми замечательными по маневренным характеристикам для второй половины тридцатых годов являются самолеты конструкции Н. Н. Поликарпова -- "И-15", "И-16" и его модификации и самолет "И-153". Последний самолет можно рассматривать как самое высокое достижение в области конструирования маневренных самолетов с поршневыми двигателями. Самолет "И-153" имел максимальную перегрузку на малой высоте около 4, а по эквивалентной мощности -- более 5. Это позволяло самолету выполнять пилотаж с высокими перегрузками в течение длительного времени без потери энергии. Самолет "И-153" является дальнейшим развитием самолетов "И-5" и "И-15". Сначала был сделан переход от самолетов "И-5" к самолетам "И-15"; оба они представляют собой бипланы примерно с одинаковыми размахами и площадями крыльев. Мощность двигателя у самолета "И-15" в полтора раза выше, а эквивалентная даже в два раза выше, чем у "И-5"; однако вес пустого самолета "И-15" увеличен примерно на 30%, а полетный вес на 20% по сравнению с весом самолета "И-5". Максимальная подъемная сила увеличилась на 30% и коэффициент перегрузки на малой высоте -- примерно на 8%, достигнув величины около 3,5. На высотах более 2,5 км преимущество в маневренной перегрузке составляет около 30%. На самолете "И-15" были сделаны также некоторые аэродинамические улучшения шасси, капота двигателя и др. Самолет "И-153", выпущенный примерно через 4 года после самолета "И-15", имел еще более мощный высотный двигатель, на нем были установлены убирающееся шасси и закрытая кабина. Это дало увеличение аэродинамического качества с 9,7 до 11. На маневренных характеристиках, естественно, сказалось в основном увеличение мощности двигателя примерно на 30% при увеличении полетного веса примерно на 17%. В результате маневренная перегрузка увеличилась примерно на 15%, а на больших высотах -- на 30% благодаря более значительной высотности двигателя. Самолет "И-153" был последним истребителем-бипланом с поршневым двигателем и имел наиболее высокие характеристики по сравнению со своими предшественниками и с находившимися в эксплуатации одновременно с ним маневренными бипланами. Высокие характеристики самолета "И-153" получены в результате большого опыта конструкторской деятельности Н. Н. Поликарпова, целеустремленно направленной на создание маневренного истребителя. Н. Н. Поликарповым был построен целый ряд самолетов-бипланов, которые имели высокие характеристики для своего времени. Однако он понимал, что бипланам присущи органические недостатки и что переход на монопланы неизбежен. В 1934 г. Н. Н. Поликарпов выпускает свой знаменитый самолет "И-16", в котором он стремился совместить скоростные и маневренные свойства. Хотя к 1934 г. истребители-монопланы стали строить и другие конструкторы, отечественные и иностранные, тем не менее, самолет "И-16" был весьма оригинален по своим формам; он казался чрезмерно коротким и тупоносым. Хвостовое оперение располагалось почти вслед за крылом, и это вызывало сомнение по поводу устойчивости самолета. Были опасения и относительно надежности его выхода из штопора. Самолет испытывал замечательный мастер высшего пилотажа -- Валерий Павлович Чкалов; при испытаниях самолет показал замечательные для того времени скоростные и маневренные качества. Именно во время этих испытаний было показано, что скорость является важнейшим фактором маневренности, так как самолет, получив разгон, приобретает дополнительную кинетическую энергию и при малом лобовом сопротивлении эта энергия сохраняется длительное время. Из материалов, приведенных в табл. 3, видно, что по характеристике веса пустого KG0 самолет "И-16" мало уступал лучшим истребителям-бипланам, а его характеристика сопротивления была почти вдвое меньше, чем у них (F0=0,4). Коэффициент перегрузки у самолета "И-16" был более 3, а с более мощным двигателем -- более 3,5 на малой высоте. Сомнения в отношении устойчивости самолета "И-16" быстро рассеялись. Правда, первые серии самолета, на котором был установлен относительно легкий двигатель, имели заднюю центровку и недостаточную устойчивость по перегрузке. Некоторым летчикам это даже нравилось, так как градиент усилия по перегрузке был мал и самолет был очень "резвым". Однако то, что было хорошо при маневрировании в хорошую погоду, оказалось плохим при полете в сложных метеорологических условиях при отсутствии видимости. В этих условиях летчик не мог контролировать поведение самолета по угловой скорости тангажа. После установки более тяжелых двигателей центр тяжести самолета сдвинулся вперед, и самолет стал прост в пилотировании, несмотря на свой короткий хвост. Удаление хвостового оперения от центра тяжести самолета сказывается на демпфирующем эффекте продольного движения; однако это не единственный фактор; демпфирование в большой мере определяется действием крыла. При характеристиках плотности rсам=G/gSl, присущих самолету "И-16", демпфирование продольных движений достаточно велико. Самолет "И-16", будучи близким к бипланам по перегрузке, имел значительно меньшую площадь крыльев и, следовательно, более высокую удельную нагрузку. Это не отразилось существенно на его взлетно-посадочных характеристиках, особенно на последующих модификациях самолета, снабженных посадочными щитками, однако радиусы кривизны траектории при маневре с максимальной перегрузкой увеличились, что видно из табл. 3. Самолет "И-16" явился как бы промежуточным звеном для перехода к скоростным истребителям-монопланам периода второй мировой войны. На нем стал возможен высший пилотаж в виде комбинации и вращений и движений в вертикальной плоскости, что является характерным для современной программы высшего пилотажа. Опасения в отношении трудности выхода самолета из штопора не оправдались. Послушав споры ученых, в которых принимал участие и автор, В. П. Чкалов решил испытать самолет, и оказалось, что даже при задней центровке самолет легко выходил из штопора, чего не наблюдалось у самолетов-бипланов "И-15" и "И-153". В. П. Чкаловым была даже предложена новая фигура -- восходящий штопор. Самолет разгонялся путем снижения, выводился на вертикальную восходящую траекторию, и затем, когда скорость в достаточной мере уменьшалась, рули ставились в штопорное положение и самолет делал штопор вверх, пока не иссякал запас скорости. Условия начала штопора определялись допустимой перегрузкой по прочности самолета. Преимущество самолета "И-16" в отношении маневренности определялось также более высоким уровнем кинетической энергии при полете на максимальной скорости. Так, если для самолетов "И-5" и "И-15" значения hк были соответственно 310 и 400 м, то для самолета "И-16" и его модификации 1938 г. эти значения были соответственно равны 630 и 700 м. Как мы уже указывали, с началом второй мировой войны от разделения самолетов-истребителей на скоростные и маневренные отказались, поскольку доминирующим фактором при выполнении вертикальных маневров стал запас кинетической энергии. Отсутствие подразделения истребителей на скоростные и маневренные нужно понимать в смысле особенностей их аэродинамики. Однако сама по себе большая скорость, определяющая запас кинетической энергии, еще не характеризует маневренные свойства в маневренном бою, так как даже очень большой запас кинетической энергии, или вернее полной энергии (включая и начальную высоту полета), может быть израсходован при маневрировании с большими перегрузками. По своей аэродинамике и по мощности двигателей истребители СССР, Германии, Англии и США были довольно близки друг к другу; это обстоятельство было обусловлено взаимным ознакомлением с конструктивными идеями, которое имело место и до войны и еще более усилилось во время войны благодаря захвату сбитых самолетов. Маневренность каждого истребителя можно было повысить, уменьшив его полетный вес. Так, например, известный немецкий истребитель Мессершмидт Me-109" имел две модификации: одну с более мощным вооружением и, следовательно, более тяжелую -- "G" и вторую -- легкую, маневренную -- "F". Разница в весах этих модификаций самолетов и соответственно в значениях nу составляла 15-20%. Облегчение самолетов достигалось в основном путем уменьшения запаса топлива, боеприпасов, числа стволов оружия и т. п. Эти мероприятия в значительной мере ухудшали боевые качества самолетов. Чем меньше был вес пустого самолета или, вернее, чем меньше была величина Y/G0, тем больше была возможность облегчить самолет. Не впадая в преувеличение достижений отечественной научной и конструкторской мысли, можно утверждать, что в отношении веса конструкции советские истребители были среди лучших. В данной работе мы не будем анализировать характеристики истребителей второй мировой войны. В табл. 3 приведены характеристики самолета "Як-1М", специально облегченного для повышения маневренных характеристик. Если рассматривать значения KG0 и nу этого самолета, отнесенные к действительной мощности у земли, то вес конструкции у него оказывается выше, а nу меньше, чем у лучших истребителей-бипланов. Однако, если отнести эти характеристики к эквивалентной мощности, то конструкция должна быть оценена как очень легкая, а значение nу как достаточно высокое. Для иллюстрации развития маневренных самолетов в период 1913-- 1938 гг. мы построили на рис. 6 и 7 графики, дающие изменение основных показателей маневренных самолетов по годам. На рис. 6. дано изменение максимального значения коэффициента перегрузки nу. Как видно, в период первой мировой войны значение nу возросло примерно на 30%, что соответствует увеличению горизонтальной составляющей перегрузки на 40%. В период 1920-- 1930 гг. значение nу повышалось сравнительно медленно, а затем темп роста увеличился, и к 1938 г. nу достигло величины 4, т. е. вдвое большей, чем перед началом первой мировой войны. На рис. 6 пунктиром показано изменение величины эквивалентной перегрузки для самолетов с высотными двигателями. Напомним, что эта величина характеризует перегрузку при маневре на больших высотах. Как видно, применение высотных двигателей дало очень резкое повышение nу по годам. Для получения величины nу на высотах, превышающих границу высотности двигателей, нужно воспользоваться графиком, приведенным на рис. 3. Например, для самолета "И-5" с двигателем малой высотности перегрузка у земли равна 3,25. Подъемная сила на высоте 4 км при винте фиксированного шага составит 0,59 от ее значения у земли (см. рис. 3), а коэффициент перегрузки будет равен 0,59•3,25=1,92. Pishnoff-151.gif Рис. 6. График изменения максимального значения коэффициента перегрузки маневренных истребителей по годам У самолета "И-153" эквивалентная перегрузка равна 5,25 (см. рис. 6); коэффициент падения перегрузки на высоте 4 км при винте изменяемого шага будет равен 0,63 (см. рис. 3) и коэффициент перегрузки будет равен nу=0,63 • 5,25 = 3,3, т. е. на 70% больше, чем у самолета "И-5". На малой высоте преимущество в величине перегрузки у самолета "И-153" по сравнению с ее величиной у самолета "И-5" будет лишь около 20%. На рис. 7 дано изменение коэффициента веса пустого самолета по годам. Мы уже указывали, какое важное значение для получения высокой маневренности имеет величина KG0. Чем меньше величина KG0, тем большая перегрузка может быть получена при определенном значении относительной величины полезной нагрузки. Если же значение KG0 велико, то самолет может оказаться маневренным только при относительно малой нагрузке. Как видно из графика, приведенного на рис. 7, резкое уменьшение значения KG0 имело место в период первой мировой войны, а затем возможность его уменьшения была почти исчерпана. Пунктирной линией дано изменение величины KG0, отнесенной к эквивалентной мощности высотных двигателей; как видно из графика, с ростом высотности произошло новое значительное уменьшение KG0. Pishnoff-152.gif Рис. 7. График изменения коэффициента веса маневренных истребителей без нагрузки по годам Если бы в современных условиях сконструировать маневренный самолет с турбовинтовым двигателем, то величина KG0 оказалась бы у него значительной меньшей, чем у самолета с поршневым двигателем, и, соответственно, можно было бы получить высокую маневренную перегрузку. Однако еще более выгодно использовать турбореактивный двигатель. Определение максимальной перегрузки для самолета с турбореактивным двигателем довольно просто. Для этого нужно взять силу тяги ТРД Р при скорости, соответствующей маневру, т. е. около 85% статической тяги Р0; эту тягу нужно умножить на аэродинамическое качество и разделить на вес самолета. Мы получим: ny=0,85K*P0/G. Так, при значениях P0/G, равных 0,5-0,7, мы получим значение , ny равное 4,5-6 и даже больше. Можно сделать специальный самолет со значением P0/G больше единицы, и тогда можно получить ny более 8. Однако такая перегрузка будет очень тяжела для летчика. Самолеты с ТРД имеют значение P0/G не менее 0,25, тогда при хорошем аэродинамическом качестве ny будет не менее 3. С поднятием на высоту ny будет уменьшаться примерно по закону Pishnoff-153.gif до границы стратосферы, а затем -- пропорционально изменению давления. Для того чтобы познакомить читателя с летно-техническими характеристиками маневренных самолетов периода 1913-- 1938 гг., т. е. за двадцать пять лет их развития, мы приведем материалы, полученные путем поверочных расчетов с использованием современных методов. Мы выбрали самолеты, во-первых, характерные с точки зрения истории их развития, и, во-вторых, близкие к самолетам, применявшимся в русской и советской авиации. Возглавить эту группу должен самолет французской конструкции "Моран-Ж" (1913 г.), на котором много летал П. Н. Нестеров и на котором он таранил австрийский самолет. Летали на нем и многие другие русские летчики в период 1914-- 1917гг. Обучение на самолете "Моран" производилось и после Октябрьской революции, в период 1918-- 1922 гг., причем этот самолет использовался для обучения высшему пилотажу, пока на смену ему не пришел самолет У-1 ("Авро"). Самолет "Моран-Ж" был уже подробно описан в статье "На чем летал П. Н. Нестеров", и здесь мы не будем возвращаться к нему. Самолет "Ньюпор-17" Вторым самолетом, на котором необходимо остановиться, будет тоже самолет французской конструкции -- "Ньюпор-17", на котором летали, дрались с неприятелем, демонстрировали высший пилотаж, вероятно, все русские и советские летчики-истребители в период 1916-- 1922 гг. Полуторопланы "Ньюпор" (см. рис. 2, б и рис. 8) применялись в разных модификациях, но самолет "Ньюпор-17" был самым типичным из них, и большое количество таких самолетов было построено в России. На самолетах "Ньюпор-17" дрались советские летчики с самолетами интервентов, разыскивали войска белогвардейцев и интервентов, штурмовали их пулеметным огнем и даже производили бомбометание. Много недостатков имели самолеты "Ньюпор-17" -- они легко срывались в штопор, разрушались в полете, часто ломались при посадке, однако достоинствами их были большая "резвость" при маневрировании и хороший обзор для летчика. Pishnoff-154.gif Рис. 8. Самолет "Ньюпор-17" -- виды спереди и сверху На рис. 9 приведены поляра самолета "Ньюпор-17" и профиль его крыльев; как видно из рисунка, самолет имел тонкое крыло со значительной кривизной средней линии. Эффективное удлинение крыла около 5; по известной максимальной скорости и примерному значению коэффициента полезного действия винта была найдена эквивалентная вредная площадь F0=0,76 м, после чего оказалось возможным составить уравнение поляры: Cх=0,065 + 0,065Су2 В районе Сумах и на малых Су поляра "отваливает" от теоретической, как показано на рис. 9. Максимальное аэродинамическое качество получилось равным примерно 7,7. Затем по характеристике двигателя "Рон" (мощностью 110 л. с.) был подобран винт диаметром 2,45 м и шагом 2,75 м. Характеристики тяги и полезной мощности были определены обычными приемами, путем сопоставления коэффициентов мощности винта Pishnoff-155.gif с аналогичными коэффициентами для двигателя. На рис. 10 приведены характеристики потребной и располагаемой мощностей, для высот полета 0, 2, 4 и 6 км. При расчете потребной мощности на малой высоте и малой скорости была учтена вертикальная составляющая тяги, и это дало уменьшение минимальной скорости примерно на 12%. Pishnoff-156.gif Pishnoff-157.gif Рис. 9. Профиль крыла и поляра самолета "Ньюпор-17" По пересечениям потребных и располагаемых мощностей были определены максимальные скорости (рис. 11). По максимальным избыточным мощностям DN=Nр-- Nп были определены максимальные вертикальные скорости и подсчитано время подъема на разные высоты. Для расчета виражей был построен вспомогательный график (рис. 12) зависимости потребной Qгор и располагаемой Р тяги от кинетической высоты hк=V2/2g. Проведя на этом графике прямые из начала координат, получим режимы полета с максимальной перегрузкой; величина перегрузки равна отношению P/Qгop в точках пересечения луча с кривыми располагаемой и потребной тяги. Максимальная подъемная сила оказалась равной Ymах=1360 кГ; по приближенному расчету мы получили величину 1320 кГ. На рис. 13 даны характеристики маневренности самолета на малой высоте. Минимальный радиус виража оказался равным около 50 м и минимальное время совершения круга-- 10 сек. Был произведен также расчет виража для гипотетического случая, когда при больших Су поляра не "отваливает", а продолжает следовать закону Сх = 0,065(1+ Су2). Pishnoff-158.gif Рис 10 График располагаемых мощностей двигательной группы и мощностей, потребных для горизонтального полета самолета "Ньюпор-17" Полученные результаты показаны на рис. 12 и 13 пунктирной линией. Подобное продление поляры имело бы место при более широких крыльях. Как видно из рисунков, это дало бы незначительное увеличение перегрузки, но значительно уменьшило бы радиус и время виража (время виража снизилось бы до 8,1 сек, а радиус был бы равен 35 м). Следует указать, что если у самолета "Ньюпор" средняя ширина крыла (сумма ширины верхнего и нижнего крыльев) составляла около 1,9 м, то у английского самолета Сопвич "Кемел" она была равна 2,7 м. При взлете самолета "Ньюпор" среднее значение силы тяги составляло около 250 кГ, или 45% веса. Это довольно большая тяга, которая давала среднее ускорение, равное со 4 м/сек2; при отрыве на скорости, равной 20 м/сек, время разбега будет равно 5 сек и длина разбега -- 50 м. При скорости встречного ветра 5 м/сек длина разбега составляла всего 30 м. Pishnoff-159.gif Рис. 11 График скоростей и скороподъемности самолета "Ньюпор-17" Pishnoff-160.gif Рис. 12. График для расчета максимальной перегрузки самолета "Ньюпор-17" Взлет самолета "Ньюпор" был очень эффектным -- после очень короткого разбега самолет почти сразу переходил на набор высоты под углом 16о-17о. Некоторые летчики после отрыва начинали выполнять спиральный набор высоты. При крене в 45о и скорости около 100 км/час самолет мог выполнять спираль с радиусом около 70 м, совершая один виток за 17 сек и набирая около 80 м высоты. Спиральный взлет был очень опасен, так как в случае остановки двигателя на малой высоте летчик не успевал перевести самолет на планирование и он обычно переходил в штопор. Pishnoff-161.gif Рис. 13 Характеристики маневренности самолета "Ньюпор-17" на малой высоте Расчет расхода топлива в полете показал, что минимальный часовой расход составлял около 12 кг/час при скорости 100 км/час и около 25 кг/час на мощности, близкой к максимальной. При запасе топлива, равном около 60 кг, время полета с маневрированием составляло около 2 час. Максимальную дальность самолет имел при скорости 125 км/час, при километровом расходе 0,12 кг/км; при этих условиях максимальная дальность могла составить около 500 км. Приведенные материалы могут дать известное представление о том, что представлял собой истребитель времен первой мировой войны. При неработающем двигателе винт обычно останавливался и величина вредной площади становилась равной около 1,2 м, а аэродинамическое качество К=6. При скорости 80-85 км/час скорость снижения была равна 4 м/сек; при спирали с креном в 45о и скорости 100 км/час радиус спирали был равен около 80 м, время витка -- 20 сек и снижение за один виток -- около 120 м. Самолет И-5 Самолет "И-5" (рис. 14) был разработан группой конструкторов под руководством Н. Н. Поликарпова и Д. П. Григоровича в 1930 г. Это был типичный биплан с двигателем воздушного охлаждения, имеющим звездообразное расположение цилиндров. Вначале на каждом цилиндре был индивидуальный обтекатель, а затем был применен общий кольцевой обтекатель. Pishnoff-162.gif Рис 14 Схема истребителя "И-5" Крылья самолета имели довольно толстый профиль с плоской нижней стороной. Казалось бы, ни по схеме, ни по мощности двигателя самолет не отличался от ранее построенных истребителей. Его достоинства определялись малым весом пустого самолета и большим значением перегрузки при маневре; хорошо были отработаны и его органы управления. На рис. 15 даны поляры и профиль крыла самолетов "И-5" и "И-153". На рис. 16 даны графики скоростей по высотам и вертикальных скоростей для самолета "И-5". Для расчета маневров самолета удобно применить такую последовательность. Для некоторой скорости V мы знаем максимальную силу тяги двигательной группы Р; при установившейся скорости полета или маневра эта тяга должна быть равна силе сопротивления; отсюда мы можем найти коэффициент сопротивления Сx=P/qS, а, пользуясь полярой или формулой для нее, по Сх, находим Су, и тогда величина подъемной силы будет: Pishnoff-166.gif Pishnoff-163.gif Pishnoff-164.gif Рис. 15. Профиль крыла и поляры самолетов истребителей "И-5" и "И-153" Pishnoff-165.gif Рис. 16. Характеристики скоростей и скороподъемности самолета "И-5" Pishnoff-171.gif Рис. 17. Характеристики тяги и максимальной подъемной силы самолета "И-5" для малой высоты Произведя такие расчеты для ряда скоростей, мы сможем построить график подъемной силы по скорости (рис. 17); затем определим коэффициент перегрузки nу для желаемого значения веса самолета и найдем радиус виража и время совершения круга: Pishnoff-167.gif Величины ny, r, t наносим на график (рис. 18). Подобный расчет можно проделать и для другой высоты, взяв соответственно силу тяги и значение скоростного напора для этой высоты. Самолет И-153 Как мы уже указывали, дальнейшим развитием самолета "И-5" явился самолет "И-15", который имел более мощный двигатель и несколько улучшенную аэродинамику. У самолета "И-153" кроме дальнейшего повышения мощности двигателя воздушного охлаждения была более существенно улучшена аэродинамика. Поэтому мы не будем приводить характеристики самолета "И-15", а прямо перейдем к самолету "И-153", у которого маневренные характеристики были наиболее высокими и который был последним из маневренных бипланов. Оба самолета, "И-15" и "И-153", были сконструированы под руководством Н. Н. Поликарпова. Схема самолета "И-153" приведена на рис. 19, его поляра была приведена на рис. 15; она отличается от поляры самолета "И-5" только меньшим значением Сх и тем, что аэродинамическое качество повысилось до значения К=11. Характеристика полезной мощности была построена для винта изменяемого шага при условии сохранения постоянного числа оборотов независимо от высоты и скорости полета. Pishnoff-172.gif Рис. 18. Характеристики маневренности самолета "И-5" на малой высоте Pishnoff-173.gif Рис. 19. Схема истребителя "И-153" Расчет горизонтальных и вертикальных скоростей производился по графику полезных и потребных мощностей. При расчете потребных мощностей Nпoтp=QV/75 подъемная сила самолета определялась с учетом вертикальной составляющей тяги, при использовании геометрического построения на поляре, предложенного Н. Е. Жуковским (рис. 20). На рис. 21 приведены горизонтальные скорости полета и время подъема на высоты. Как видно из графика, скороподъемность самолета очень высокая. Скорость отрыва при взлете равна около 35 м/сек при среднем значении силы тяги 850 кГ; среднее ускорение при разбеге jср=3,8 м/сек2, время разбега -- 9 сек и длина разбега около 160 м. Расчет характеристик маневренности на малой высоте производим таким же методом, как делали это для самолета "И-5" (рис. 22). На этом же графике нанесена характеристика перегрузки, допустимой по условию Cyдoп=0,85Сумах, nу доп = Cyдoп qS/G. Pishnoff-174.gif Рис. 20. Поляры самолета "И-153" без тяги и с тягой Pishnoff-175.gif Рис. 21. Характеристики скоростей и скороподъемности самолета "И-153" Pishnoff-176.gif Рис. 22. Характеристики маневренности самолета "И-153" на малой высоте Затем, как мы это уже делали ранее, находим радиус виража и время совершения полного круга; эти расчеты производились для полетного веса 1700 кГ. Как видно из графика, максимальная перегрузка доходит до 3,6 и минимальное время виража составляет около 11 сек, т. е. почти такое же, как и у самолета "И-5". У самолета "И-153", как это было и у самолета "И-15", верхнее крыло сделано по схеме "чайка", т. е. оно не проходит над фюзеляжем, как это было типично для бипланов, а выгибается и примыкает к фюзеляжу. Это сделано для улучшения обзора вперед, что очень важно для истребителя. Благодаря такой схеме образуется не только значительная боковая поверхность, но, сливаясь с фюзеляжем, эта поверхность придает крылу более высокое удлинение. Основные крылья, которые не дают боковой силы, экранируют боковые поверхности как шайбы и тоже увеличивают их удлинение. В результате расчета было получено, что аэродинамическое качество в боковом направлении, т. е. соотношение коэффициента боковой силы Cz и коэффициента сопротивления Cх имеет величину 3,5-- 4,0. Градиент боковой силы меньше градиента подъемной силы примерно в пять раз. Эффективный размах боковых поверхностей благодаря экранирующему действию крыльев получился равным около 3 м и тогда максимальное значение боковой силы оказывается равным около 2000 кГ, т. е. больше веса самолета. Благодаря этому самолет "И-153" был способен летать по горизонтали с креном 90о, т. е. на боку. Подобный своеобразный вид полета выполнялся практически. Самолет И-16 Как мы уже указывали, намерением конструктора Н. Н. Поликарпова было -- совместить в самолете "И-16" скоростные и маневренные качества. Это ему удалось в основном осуществить. Схема самолета приведена на рис. 23, а основные характеристики даны в табл. 3. С тем же двигателем, что и у самолета "И-153", самолет "И-16" (модификации 1938 г.) имел почти тот же вес, но площадь крыльев у него была в полтора раза меньше, чем у самолета "И-153". Размах крыльев у обоих самолетов был одинаковым. Таким образом, основное отличие самолета "И-16" от самолета "И-153" состояло в большей величине удельной нагрузки на крыло и меньшем значении приведенной вредной площади F0. Благодаря этим особенностям у самолета "И-16" оказалась более высокая максимальная скорость -- на 10%, но и более высокая минимальная скорость -- примерно на 20%. Профилем крыла самолета "И-16" был профиль "Кларк-YH", который характерен несколько отогнутой вверх задней кромкой; на рис. 24 показан этот профиль в среднем сечении и поляра самолета. Характеристику тяги можно взять из расчета самолета "И-153", поскольку двигатели у этих самолетов одинаковые. Значения силы тяги P=75N/V приведены на рис. 25. Дальнейший расчет производим, исходя из значений подъемных сил, способ определения которых был уже изложен ранее, но этот расчет мы повторяем для ряда высот от 0 до 11 км (рис. 26). Пользуясь этим графиком, мы можем определять характеристики маневра на любых скоростях и высотах при желаемых полетных весах. Исходя из веса 1750 кГ и задаваясь значениями перегрузок ny = 1; 1,5; 2, 2,5 и 3, мы находим подъемные силы и скорости полета на различных высотах. По этим материалам строим график скоростей по высотам при указанных перегрузках (рис. 27), который дает области маневрирования и позволяет получить характеристики маневрирования при всех скоростях и высотах. Pishnoff-177.gif Рис 23 Схема истребителя "И-16" Характеристики маневренности самолета приведены на рис. 28, причем вместо радиусов и времени виража даны значения угловой скорости при вираже w=gnгор/V. На тот же график нанесены значения угловой скорости при вираже для самолета "И-153". Pishnoff-178.gif Pishnoff-179.gif Рис. 24. Профиль крыла и поляра самолета "И-16" Pishnoff-180.gif Рис. 25. Характеристики тяги для самолета "И-16" Pishnoff-181.gif Рис. 26. Зависимости подъемной силы от высоты и скорости полета для самолета "И-16" Pishnoff-182.gif Рис. 27. График значений перегрузок в зависимости от высоты и скорости полета для самолета "И-16" Левые части графиков соответствуют условиям ограничений при Су=0,85Суmах. Как видно из графика, при скоростях, меньших 70 м/сек (250 км/час), самолет "И-153" имеет большое превосходство в угловой скорости, или, иначе говоря, при определенной скорости он имеет меньший радиус виража. При скоростях, превышающих 100 м/сек (360 км/час), преимущество в угловой скорости имеет самолет "И-16". Какой же самолет имеет преимущество в воздушном бою? Это зависит от опыта летчика; самолету "И-153" не следовало завязывать бой при большой скорости, а самолету "И-16" -- при малой. Преимущество у того, кто располагает инициативой, а она у того, у кого больше скорость. Pishnoff-183.gif Рис 28. Сравнительный график характеристик маневренности самолетов "И-16" и "И-153" Pishnoff-184.gif Рис. 29. График изменения максимальной подъемной силы с высотой для самолета "И-16" Если самолет "И-153" предлагает маневрирование на низких скоростях, то самолет "И-16" может его не принять и удалиться с целью подготовки маневра для атаки, а самолет "И-153" лишен такой возможности. Взлет самолета "И-16" характеризуется скоростью отрыва, равной 150 км/час, временем разбега 10 сек и длиной разбега около 210-220 м; начальная вертикальная скорость у него около 16 м/сек, угол подъема -- около 15о. На рис. 29 дан график изменения максимальной подъемной силы с высотой, построенный по данным, полученным из графика, приведенного на рис. 26; этот график дает зависимость потолка самолета от его полетного веса. * * На этом мы заканчиваем рассмотрение истории развития маневренных самолетов с поршневой винтомоторной группой. Мы полагаем, что изложенный материал представляет не только исторический, но и методический интерес. Опыт истории всегда служит и для общего развития специалистов, и для правильного понимания путей продвижения в новое. Библиография 1. Вейгелин К. Е., Путь летчика Нестерова, Оборонгиз, 1939. 2. Вейгелин К. Е., Очерки по истории летного дела, Оборонгиз, 1940. 3. Виноградов Р. И., Минаев А. В., Самолеты СССР, Воениздат, 1961. 4. Воздухоплавание и авиация в России до 1907 г, Сборник документов и материалов, под редакцией В. А. Попова, Оборонгиз, 1956. 5. Делоне Н. Б., Устройство дешевого и легкого планера и способы летания на нем, Киев, 1910. 6. Жуковский Н. Е., Теоретические основы воздухоплавания, часть II, Полное собрание сочинений, Лекции, выпуск 2, НКОП СССР, Государственное издательство оборонной промышленности, Москва, 1939. 7. Журнал "Вестник воздушного флота", с 1918 г. и далее. 8. Журнал "Воздухоплаватель", 1910-- 1917 гг. 9. Крейсон П. М., Самолеты за 20 лет, ОНТИ, Госмашметиздат, 1934, 10. Моисеенко В. Л., Предельные размеры самолетов, Отдел военной литературы при РВСР, 1921. 11. Рынин Н. А., Теория авиации, Петроград, 1918. 12. "Труды авиационного отдела Летучей лаборатории", под редакцией В. П. Ветчинкина, Москва, 1918. 13. Шипилов И. Ф., Выдающийся русский летчик П. Н. Нестеров, Воениздат, 1952. Издательский редактор Л. И Мунина Технический редактор Н. А. Пухликова Художник Я. Т. Дворников Корректор А. И. Карамышкина Сдано в набор 29/III 1968 г. Т-10097 Подписано к печати 10/VII 1968 г. Тираж 3600 экз. Цена 78 коп. Тем. план 1968 г. No 148 Издательство "Машиностроение", Москва, К-51, Петровка, 24 Изд. зак. 2395 Московская типография No 8 Главполиграфпрома Комитета по печати при Совете Министров СССР, Хохловский пер., 7. Тип. зак. 678 Илл. -- 59, табл -- 3, библиография -- 13 названий. Редактор инж. К. Я. Зайцева

Популярность: 80, Last-modified: Mon, 13 Jan 2003 09:15:56 GmT